Form RW08-10 Grant of Right to Take Material - California

Form RW08-10 Grant of Right to Take Material - California

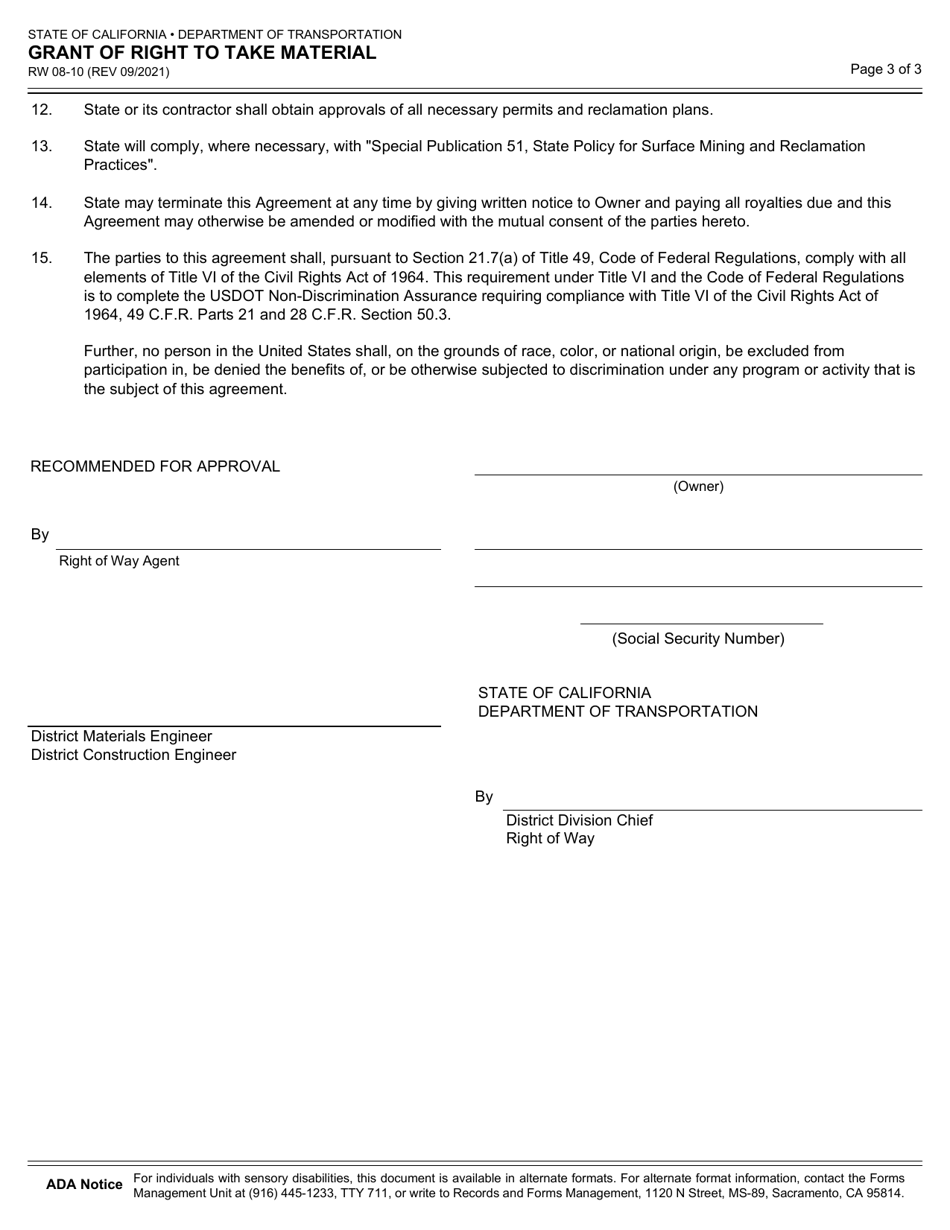
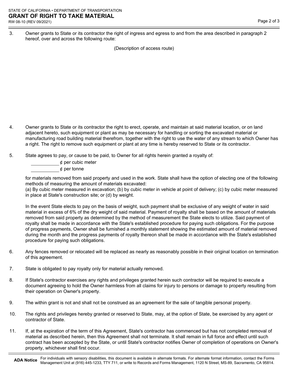
What Is Form RW08-10?

This is a legal form that was released by the California Department of Transportation - a government authority operating within California. As of today, no separate filing guidelines for the form are provided by the issuing department.

FAQ

Q: What is Form RW08-10?
A: Form RW08-10 is the Grant of Right to Take Material in California.

Q: What is the purpose of Form RW08-10?
A: The purpose of Form RW08-10 is to grant the right to take material in California.

Q: Who can use Form RW08-10?
A: Anyone who needs to obtain the right to take material in California can use Form RW08-10.

Q: What is meant by 'material' in Form RW08-10?
A: In Form RW08-10, 'material' refers to any substance or thing that is taken from the land, such as gravel or sand.

Q: What information is required in Form RW08-10?
A: Form RW08-10 requires information such as the name and address of the person or entity seeking the right to take material, the location where the material will be taken from, and the purpose for which the material will be used.

Q: Are there any fees associated with Form RW08-10?
A: Yes, there are fees associated with submitting Form RW08-10. The specific fees may vary depending on the jurisdiction.

ADVERTISEMENT

Form Details:

  • Released on September 1, 2021;
  • The latest edition provided by the California Department of Transportation;
  • Easy to use and ready to print;
  • Quick to customize;
  • Compatible with most PDF-viewing applications;
  • Fill out the form in our online filing application.

Download a fillable version of Form RW08-10 by clicking the link below or browse more documents and templates provided by the California Department of Transportation.

Download Form RW08-10 Grant of Right to Take Material - California

4.6 of 5 (9 votes)
  • Form RW08-10 Grant of Right to Take Material - California

    1

  • Form RW08-10 Grant of Right to Take Material - California, Page 2

    2

  • Form RW08-10 Grant of Right to Take Material - California, Page 3

    3

  • Form RW08-10 Grant of Right to Take Material - California, Page 1
  • Form RW08-10 Grant of Right to Take Material - California, Page 2
  • Form RW08-10 Grant of Right to Take Material - California, Page 3
Prev 1 2 3 Next
ADVERTISEMENT

Related Documents