Form F31 Notice of Application - British Columbia, Canada

Notification Icon This version of the form is not currently in use and is provided for reference only. Download this version of Form F31 for the current year.

Form F31 Notice of Application - British Columbia, Canada

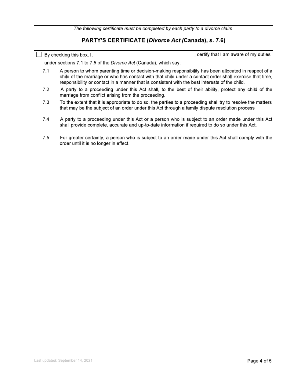
Form F31 Notice of Application in British Columbia, Canada is used to notify interested parties about an application filed with the court. It provides details about the application and gives individuals the opportunity to respond or participate in the court process.

In British Columbia, Canada, the Form F31 Notice of Application is typically filed by the party who is applying to initiate a court proceeding.

FAQ

Q: What is a Form F31 Notice of Application?
A: Form F31 Notice of Application is a legal document used in British Columbia, Canada, to notify the court and other parties of an application being made.

Q: What is the purpose of Form F31 Notice of Application?
A: The purpose of Form F31 Notice of Application is to inform the court and other parties involved in the legal proceeding about an application being brought before the court.

Q: Who needs to fill out Form F31 Notice of Application?
A: The party making the application needs to fill out Form F31 Notice of Application. It is usually filled out by the applicant's lawyer or the applicant themselves.

Q: What information is required in Form F31 Notice of Application?
A: Form F31 Notice of Application requires information such as the names of the parties involved, the nature of the application, the relief sought, and the date and time of the hearing.

Q: Is there a fee for filing Form F31 Notice of Application?
A: Yes, there is a fee for filing Form F31 Notice of Application. The fee amount can be obtained from the court registry.

ADVERTISEMENT

Download Form F31 Notice of Application - British Columbia, Canada

4.3 of 5 (18 votes)
  • Form F31 Notice of Application - British Columbia, Canada

    1

  • Form F31 Notice of Application - British Columbia, Canada, Page 2

    2

  • Form F31 Notice of Application - British Columbia, Canada, Page 3

    3

  • Form F31 Notice of Application - British Columbia, Canada, Page 4

    4

  • Form F31 Notice of Application - British Columbia, Canada, Page 5

    5

  • Form F31 Notice of Application - British Columbia, Canada, Page 1
  • Form F31 Notice of Application - British Columbia, Canada, Page 2
  • Form F31 Notice of Application - British Columbia, Canada, Page 3
  • Form F31 Notice of Application - British Columbia, Canada, Page 4
  • Form F31 Notice of Application - British Columbia, Canada, Page 5
Prev 1 2 3 4 5 Next
ADVERTISEMENT