Application for Commercial Aquatic Turtle Harvester License - Oklahoma

Notification Icon This version of the form is not currently in use and is provided for reference only. Download this version of the document for the current year.

Application for Commercial Aquatic Turtle Harvester License - Oklahoma

Application for Commercial Aquatic Turtle Harvester License is a legal document that was released by the Oklahoma Department of Wildlife Conservation - a government authority operating within Oklahoma.

FAQ

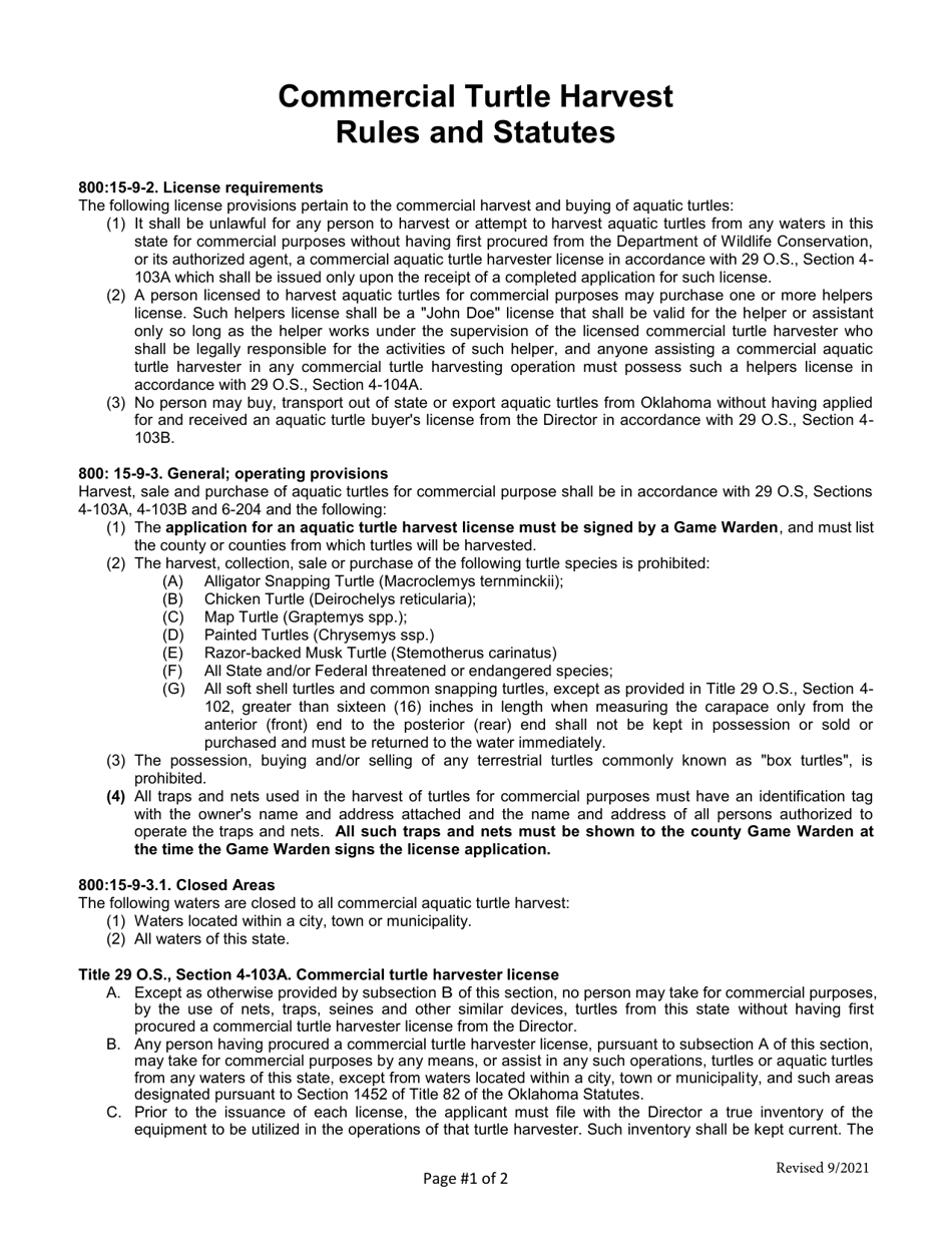
Q: What is a Commercial Aquatic Turtle Harvester License?
A: A Commercial Aquatic Turtle Harvester License is a license required by the state of Oklahoma to legally capture and sell aquatic turtles.

Q: Why do I need a Commercial Aquatic Turtle Harvester License?
A: You need a Commercial Aquatic Turtle Harvester License to ensure that your turtle harvesting activities are legal and regulated by the state.

Q: How can I apply for a Commercial Aquatic Turtle Harvester License in Oklahoma?
A: To apply for a Commercial Aquatic Turtle Harvester License in Oklahoma, you must complete the application form provided by the Oklahoma Department of Wildlife Conservation and submit it along with the required documents and fees.

Q: What are the requirements to obtain a Commercial Aquatic Turtle Harvester License?
A: The requirements to obtain a Commercial Aquatic Turtle Harvester License in Oklahoma include being at least 18 years old, having a valid Oklahoma fishing license, and completing a turtle identification course.

Q: How much does a Commercial Aquatic Turtle Harvester License cost?
A: The cost of a Commercial Aquatic Turtle Harvester License in Oklahoma varies depending on factors such as residency status and license duration. It is best to refer to the current fee schedule provided by the Oklahoma Department of Wildlife Conservation for the specific cost.

Q: How long is a Commercial Aquatic Turtle Harvester License valid for?
A: A Commercial Aquatic Turtle Harvester License in Oklahoma is typically valid for one year from the date of issuance.

Q: Are there any restrictions or regulations associated with a Commercial Aquatic Turtle Harvester License?
A: Yes, there are various restrictions and regulations associated with a Commercial Aquatic Turtle Harvester License in Oklahoma. These include limits on the number of turtles that can be harvested, specific harvesting methods, and reporting requirements. It is important to familiarize yourself with these regulations before engaging in any turtle harvesting activities.

Q: Can a Commercial Aquatic Turtle Harvester License be renewed?
A: Yes, a Commercial Aquatic Turtle Harvester License in Oklahoma can be renewed by submitting a renewal application and paying the applicable fees before the expiration date of the current license.

Q: Are there any penalties for harvesting turtles without a license?
A: Yes, harvesting turtles without a valid Commercial Aquatic Turtle Harvester License in Oklahoma can result in penalties, including fines and potential legal consequences. It is illegal to engage in commercial turtle harvesting without the required license.

ADVERTISEMENT

Form Details:

  • Released on September 1, 2021;
  • The latest edition currently provided by the Oklahoma Department of Wildlife Conservation;
  • Ready to use and print;
  • Easy to customize;
  • Compatible with most PDF-viewing applications;
  • Fill out the form in our online filing application.

Download a printable version of the form by clicking the link below or browse more documents and templates provided by the Oklahoma Department of Wildlife Conservation.

Download Application for Commercial Aquatic Turtle Harvester License - Oklahoma

4.4 of 5 (24 votes)
  • Application for Commercial Aquatic Turtle Harvester License - Oklahoma

    1

  • Application for Commercial Aquatic Turtle Harvester License - Oklahoma, Page 2

    2

  • Application for Commercial Aquatic Turtle Harvester License - Oklahoma, Page 3

    3

  • Application for Commercial Aquatic Turtle Harvester License - Oklahoma, Page 4

    4

  • Application for Commercial Aquatic Turtle Harvester License - Oklahoma, Page 5

    5

  • Application for Commercial Aquatic Turtle Harvester License - Oklahoma, Page 6

    6

  • Application for Commercial Aquatic Turtle Harvester License - Oklahoma, Page 1
  • Application for Commercial Aquatic Turtle Harvester License - Oklahoma, Page 2
  • Application for Commercial Aquatic Turtle Harvester License - Oklahoma, Page 3
  • Application for Commercial Aquatic Turtle Harvester License - Oklahoma, Page 4
  • Application for Commercial Aquatic Turtle Harvester License - Oklahoma, Page 5
  • Application for Commercial Aquatic Turtle Harvester License - Oklahoma, Page 6
Prev 1 2 3 4 5 6 Next
ADVERTISEMENT