Form PWD309C Affidavit of Statutory Lien Foreclosure Sale by Licensed Vehicle Storage Facility - Texas

Form PWD309C Affidavit of Statutory Lien Foreclosure Sale by Licensed Vehicle Storage Facility - Texas

What Is Form PWD309C?

This is a legal form that was released by the Texas Parks and Wildlife Department - a government authority operating within Texas. As of today, no separate filing guidelines for the form are provided by the issuing department.

FAQ

Q: What is Form PWD309C?
A: Form PWD309C is an Affidavit of Statutory Lien Foreclosure Sale by Licensed Vehicle Storage Facility in Texas.

Q: What is the purpose of Form PWD309C?
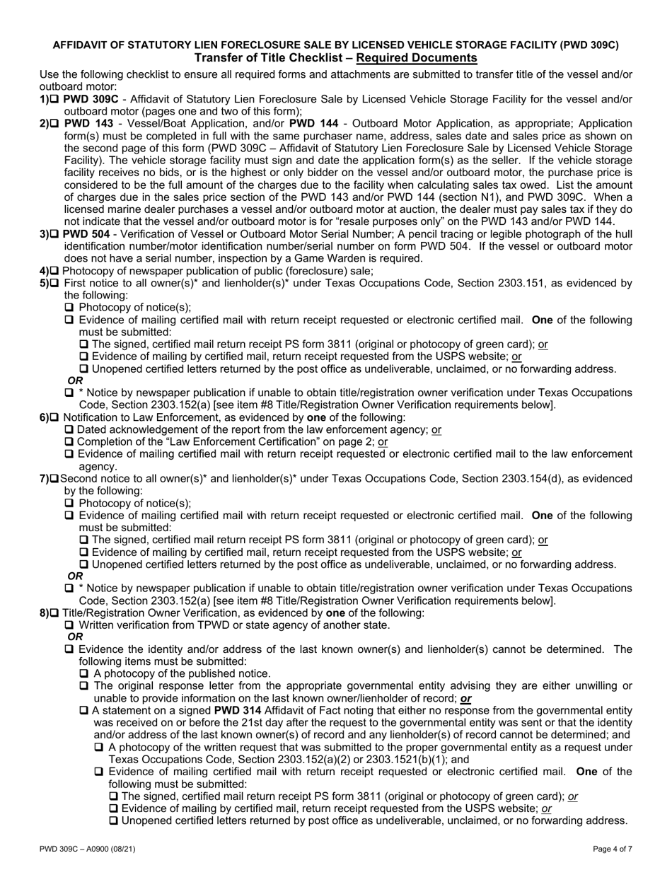
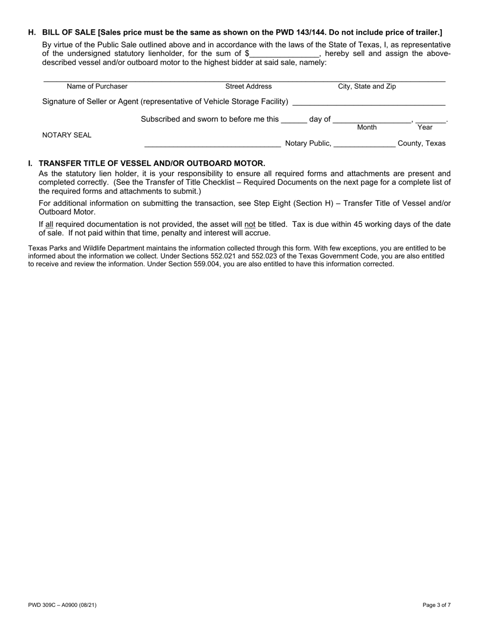
A: The purpose of Form PWD309C is to document the sale of a vehicle by a licensed vehicle storage facility to satisfy a lien.

Q: Who needs to fill out Form PWD309C?
A: The licensed vehicle storage facility is responsible for filling out Form PWD309C.

Q: What information is required in Form PWD309C?
A: Form PWD309C requires information such as the facility's name and address, the vehicle owner's information, details of the lien, and the sale information.

Q: Are there any fees associated with filing Form PWD309C?
A: There may be fees associated with filing Form PWD309C. Contact the Texas Department of Motor Vehicles or the local vehicle storage facility for more information.

Q: Is Form PWD309C specific to Texas?
A: Yes, Form PWD309C is specific to Texas and is used for statutory lien foreclosure sale by licensed vehicle storage facilities in the state.

Q: What should I do after filling out Form PWD309C?
A: After filling out Form PWD309C, it should be submitted to the Texas Department of Motor Vehicles or as instructed by the local vehicle storage facility.

ADVERTISEMENT

Form Details:

  • Released on August 1, 2021;
  • The latest edition provided by the Texas Parks and Wildlife Department;
  • Easy to use and ready to print;
  • Quick to customize;
  • Compatible with most PDF-viewing applications;
  • Fill out the form in our online filing application.

Download a fillable version of Form PWD309C by clicking the link below or browse more documents and templates provided by the Texas Parks and Wildlife Department.

Download Form PWD309C Affidavit of Statutory Lien Foreclosure Sale by Licensed Vehicle Storage Facility - Texas

4.8 of 5 (13 votes)
  • Form PWD309C Affidavit of Statutory Lien Foreclosure Sale by Licensed Vehicle Storage Facility - Texas

    1

  • Form PWD309C Affidavit of Statutory Lien Foreclosure Sale by Licensed Vehicle Storage Facility - Texas, Page 2

    2

  • Form PWD309C Affidavit of Statutory Lien Foreclosure Sale by Licensed Vehicle Storage Facility - Texas, Page 3

    3

  • Form PWD309C Affidavit of Statutory Lien Foreclosure Sale by Licensed Vehicle Storage Facility - Texas, Page 4

    4

  • Form PWD309C Affidavit of Statutory Lien Foreclosure Sale by Licensed Vehicle Storage Facility - Texas, Page 5

    5

  • Form PWD309C Affidavit of Statutory Lien Foreclosure Sale by Licensed Vehicle Storage Facility - Texas, Page 6

    6

  • Form PWD309C Affidavit of Statutory Lien Foreclosure Sale by Licensed Vehicle Storage Facility - Texas, Page 7

    7

  • Form PWD309C Affidavit of Statutory Lien Foreclosure Sale by Licensed Vehicle Storage Facility - Texas, Page 1
  • Form PWD309C Affidavit of Statutory Lien Foreclosure Sale by Licensed Vehicle Storage Facility - Texas, Page 2
  • Form PWD309C Affidavit of Statutory Lien Foreclosure Sale by Licensed Vehicle Storage Facility - Texas, Page 3
  • Form PWD309C Affidavit of Statutory Lien Foreclosure Sale by Licensed Vehicle Storage Facility - Texas, Page 4
  • Form PWD309C Affidavit of Statutory Lien Foreclosure Sale by Licensed Vehicle Storage Facility - Texas, Page 5
  • Form PWD309C Affidavit of Statutory Lien Foreclosure Sale by Licensed Vehicle Storage Facility - Texas, Page 6
  • Form PWD309C Affidavit of Statutory Lien Foreclosure Sale by Licensed Vehicle Storage Facility - Texas, Page 7
Prev 1 2 3 4 5 ... 7 Next
ADVERTISEMENT