Form SS2113 Managed Service / Managed Security Service Providers - Louisiana

Notification Icon This version of the form is not currently in use and is provided for reference only. Download this version of Form SS2113 for the current year.

Form SS2113 Managed Service / Managed Security Service Providers - Louisiana

What Is Form SS2113?

This is a legal form that was released by the Louisiana Secretary of State - a government authority operating within Louisiana. As of today, no separate filing guidelines for the form are provided by the issuing department.

FAQ

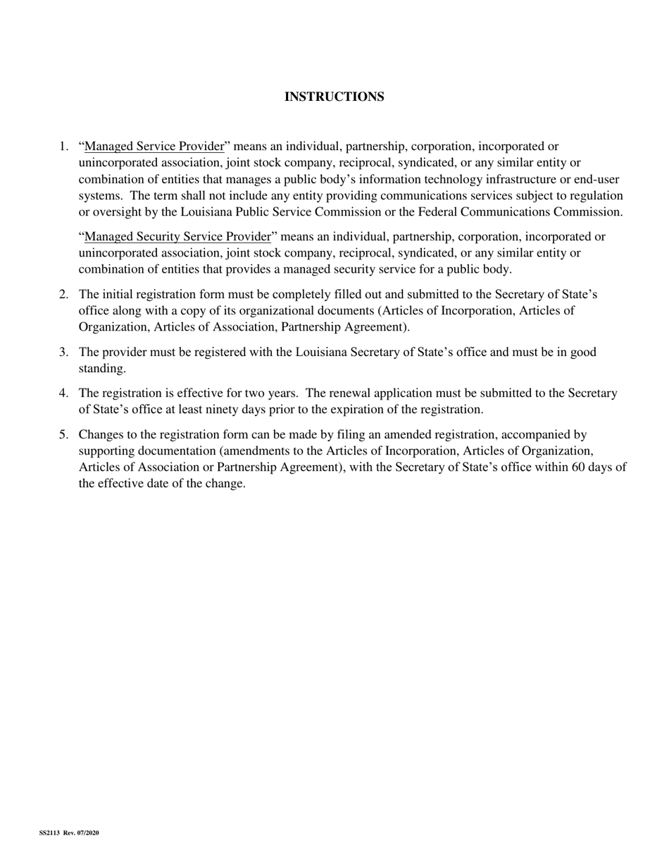
Q: What is a Managed Service Provider (MSP)?
A: A Managed Service Provider (MSP) is a company that provides proactive management and support of IT infrastructure and services for businesses.

Q: What is a Managed Security Service Provider (MSSP)?
A: A Managed Security Service Provider (MSSP) is a company that provides managed security services to protect against cybersecurity threats and incidents.

Q: What services does a Managed Service Provider offer?
A: A Managed Service Provider offers a wide range of services, including network monitoring, data backup and recovery, software updates and patches, help desk support, and IT consulting.

Q: What services does a Managed Security Service Provider offer?
A: A Managed Security Service Provider offers services such as security monitoring and incident response, vulnerability management, threat intelligence, and security assessments.

Q: Why should a business consider using a Managed Service Provider?
A: A business should consider using a Managed Service Provider to offload the burden of managing IT systems and infrastructure, improve efficiency and productivity, and enhance security and compliance.

Q: Why should a business consider using a Managed Security Service Provider?
A: A business should consider using a Managed Security Service Provider to strengthen their cybersecurity defenses, ensure 24/7 monitoring and response to security incidents, and leverage expertise and advanced technologies.

Q: Are there any Managed Service Providers in Louisiana?
A: Yes, there are several Managed Service Providers in Louisiana that offer IT management and support services.

Q: Are there any Managed Security Service Providers in Louisiana?
A: Yes, there are Managed Security Service Providers in Louisiana that offer managed security services to businesses in the state.

ADVERTISEMENT

Form Details:

  • Released on July 1, 2020;
  • The latest edition provided by the Louisiana Secretary of State;
  • Easy to use and ready to print;
  • Quick to customize;
  • Compatible with most PDF-viewing applications;
  • Fill out the form in our online filing application.

Download a printable version of Form SS2113 by clicking the link below or browse more documents and templates provided by the Louisiana Secretary of State.

Download Form SS2113 Managed Service / Managed Security Service Providers - Louisiana

4.7 of 5 (19 votes)
  • Form SS2113 Managed Service/Managed Security Service Providers - Louisiana

    1

  • Form SS2113 Managed Service/Managed Security Service Providers - Louisiana, Page 2

    2

  • Form SS2113 Managed Service/Managed Security Service Providers - Louisiana, Page 3

    3

  • Form SS2113 Managed Service/Managed Security Service Providers - Louisiana, Page 4

    4

  • Form SS2113 Managed Service / Managed Security Service Providers - Louisiana, Page 1
  • Form SS2113 Managed Service / Managed Security Service Providers - Louisiana, Page 2
  • Form SS2113 Managed Service / Managed Security Service Providers - Louisiana, Page 3
  • Form SS2113 Managed Service / Managed Security Service Providers - Louisiana, Page 4
Prev 1 2 3 4 Next
ADVERTISEMENT