Form A-501 Application for Rating / Advisory Organization License - New Hampshire

Form A-501 Application for Rating / Advisory Organization License - New Hampshire

What Is Form A-501?

This is a legal form that was released by the New Hampshire Insurance Department - a government authority operating within New Hampshire. As of today, no separate filing guidelines for the form are provided by the issuing department.

FAQ

Q: What is Form A-501?
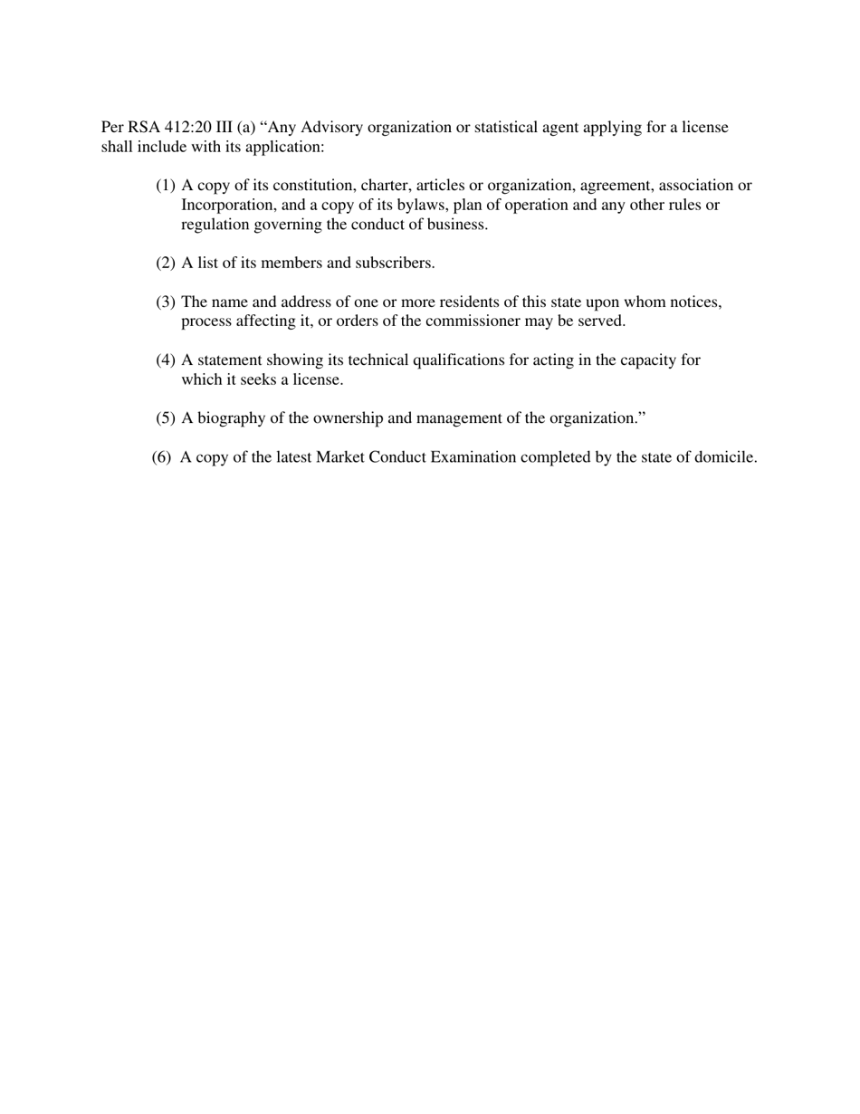
A: Form A-501 is an application for Rating/Advisory Organization License in New Hampshire.

Q: Who needs to fill out Form A-501?
A: Any organization seeking a Rating/Advisory Organization License in New Hampshire needs to fill out Form A-501.

Q: What information is required on Form A-501?
A: Form A-501 requires details about the organization, its purpose, qualifications of officers and directors, financial information, and other relevant information.

Q: Are there any additional documents required with Form A-501?
A: Yes, additional documents such as a copy of the organization's bylaws, financial statements, and any other supporting documents may be required to be submitted with Form A-501.

Q: How long does it take to process Form A-501?
A: The processing time varies, but it generally takes several weeks to process Form A-501.

Q: Can I track the status of my Form A-501 application?
A: Yes, you can contact the New Hampshire Insurance Department to inquire about the status of your Form A-501 application.

Q: What if I have questions or need assistance with Form A-501?
A: If you have questions or need assistance with Form A-501, you can contact the New Hampshire Insurance Department for guidance and support.

ADVERTISEMENT

Form Details:

  • The latest edition provided by the New Hampshire Insurance Department;
  • Easy to use and ready to print;
  • Quick to customize;
  • Compatible with most PDF-viewing applications;
  • Fill out the form in our online filing application.

Download a printable version of Form A-501 by clicking the link below or browse more documents and templates provided by the New Hampshire Insurance Department.

Download Form A-501 Application for Rating / Advisory Organization License - New Hampshire

4.8 of 5 (8 votes)
  • Form A-501 Application for Rating/Advisory Organization License - New Hampshire

    1

  • Form A-501 Application for Rating/Advisory Organization License - New Hampshire, Page 2

    2

  • Form A-501 Application for Rating/Advisory Organization License - New Hampshire, Page 3

    3

  • Form A-501 Application for Rating / Advisory Organization License - New Hampshire, Page 1
  • Form A-501 Application for Rating / Advisory Organization License - New Hampshire, Page 2
  • Form A-501 Application for Rating / Advisory Organization License - New Hampshire, Page 3
Prev 1 2 3 Next
ADVERTISEMENT

Related Documents