SEC Form 1541 (NRSRO) Application for Registration as a Nationally Recognized Statistical Rating Organization (Nrsro)

SEC Form 1541 (NRSRO) Application for Registration as a Nationally Recognized Statistical Rating Organization (Nrsro)

What Is SEC Form 1541 (NRSRO)?

This is a legal form that was released by the U.S. Securities and Exchange Commission on January 1, 2015 and used country-wide. As of today, no separate filing guidelines for the form are provided by the issuing department.

FAQ

Q: What is SEC Form 1541?
A: SEC Form 1541 is the application form to register as a Nationally Recognized Statistical Rating Organization (NRSRO).

Q: What is an NRSRO?
A: An NRSRO is a Nationally Recognized Statistical Rating Organization, which provides credit ratings for various financial products and issuers.

Q: Why would a company want to register as an NRSRO?
A: Registering as an NRSRO allows a company to provide credit ratings that are recognized and relied upon by investors in the financial markets.

Q: What is the purpose of SEC Form 1541?
A: SEC Form 1541 is used to apply for registration as an NRSRO and provides the necessary information and disclosures required by the Securities and Exchange Commission.

ADVERTISEMENT

Form Details:

  • Released on January 1, 2015;
  • The latest available edition released by the U.S. Securities and Exchange Commission;
  • Easy to use and ready to print;
  • Yours to fill out and keep for your records;
  • Compatible with most PDF-viewing applications;
  • Fill out the form in our online filing application.

Download a fillable version of SEC Form 1541 (NRSRO) by clicking the link below or browse more documents and templates provided by the U.S. Securities and Exchange Commission.

Download SEC Form 1541 (NRSRO) Application for Registration as a Nationally Recognized Statistical Rating Organization (Nrsro)

4.7 of 5 (19 votes)
  • SEC Form 1541 (NRSRO) Application for Registration as a Nationally Recognized Statistical Rating Organization (Nrsro)

    1

  • SEC Form 1541 (NRSRO) Application for Registration as a Nationally Recognized Statistical Rating Organization (Nrsro), Page 2

    2

  • SEC Form 1541 (NRSRO) Application for Registration as a Nationally Recognized Statistical Rating Organization (Nrsro), Page 3

    3

  • SEC Form 1541 (NRSRO) Application for Registration as a Nationally Recognized Statistical Rating Organization (Nrsro), Page 4

    4

  • SEC Form 1541 (NRSRO) Application for Registration as a Nationally Recognized Statistical Rating Organization (Nrsro), Page 5

    5

  • SEC Form 1541 (NRSRO) Application for Registration as a Nationally Recognized Statistical Rating Organization (Nrsro), Page 6

    6

  • SEC Form 1541 (NRSRO) Application for Registration as a Nationally Recognized Statistical Rating Organization (Nrsro), Page 7

    7

  • SEC Form 1541 (NRSRO) Application for Registration as a Nationally Recognized Statistical Rating Organization (Nrsro), Page 8

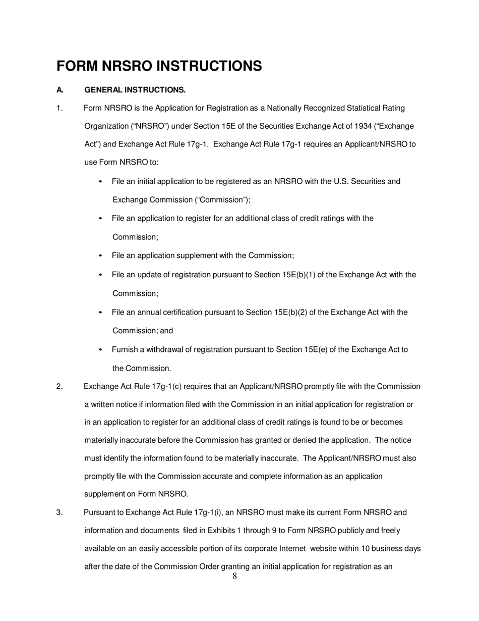
    8

  • SEC Form 1541 (NRSRO) Application for Registration as a Nationally Recognized Statistical Rating Organization (Nrsro), Page 9

    9

  • SEC Form 1541 (NRSRO) Application for Registration as a Nationally Recognized Statistical Rating Organization (Nrsro), Page 10

    10

  • SEC Form 1541 (NRSRO) Application for Registration as a Nationally Recognized Statistical Rating Organization (Nrsro), Page 11

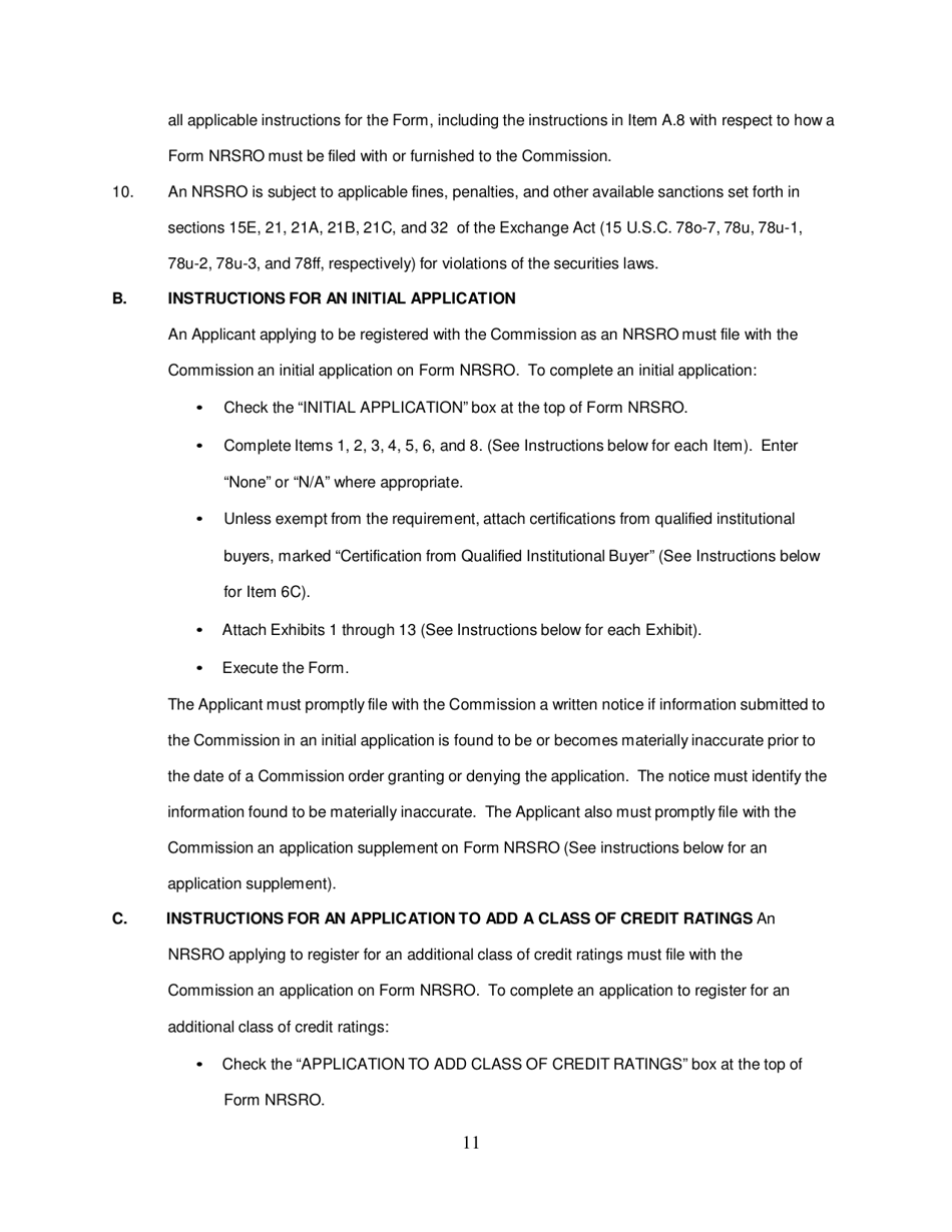
    11

  • SEC Form 1541 (NRSRO) Application for Registration as a Nationally Recognized Statistical Rating Organization (Nrsro), Page 12

    12

  • SEC Form 1541 (NRSRO) Application for Registration as a Nationally Recognized Statistical Rating Organization (Nrsro), Page 13

    13

  • SEC Form 1541 (NRSRO) Application for Registration as a Nationally Recognized Statistical Rating Organization (Nrsro), Page 14

    14

  • SEC Form 1541 (NRSRO) Application for Registration as a Nationally Recognized Statistical Rating Organization (Nrsro), Page 15

    15

  • SEC Form 1541 (NRSRO) Application for Registration as a Nationally Recognized Statistical Rating Organization (Nrsro), Page 16

    16

  • SEC Form 1541 (NRSRO) Application for Registration as a Nationally Recognized Statistical Rating Organization (Nrsro), Page 17

    17

  • SEC Form 1541 (NRSRO) Application for Registration as a Nationally Recognized Statistical Rating Organization (Nrsro), Page 18

    18

  • SEC Form 1541 (NRSRO) Application for Registration as a Nationally Recognized Statistical Rating Organization (Nrsro), Page 19

    19

  • SEC Form 1541 (NRSRO) Application for Registration as a Nationally Recognized Statistical Rating Organization (Nrsro), Page 20

    20

  • SEC Form 1541 (NRSRO) Application for Registration as a Nationally Recognized Statistical Rating Organization (Nrsro), Page 21

    21

  • SEC Form 1541 (NRSRO) Application for Registration as a Nationally Recognized Statistical Rating Organization (Nrsro), Page 22

    22

  • SEC Form 1541 (NRSRO) Application for Registration as a Nationally Recognized Statistical Rating Organization (Nrsro), Page 23

    23

  • SEC Form 1541 (NRSRO) Application for Registration as a Nationally Recognized Statistical Rating Organization (Nrsro), Page 24

    24

  • SEC Form 1541 (NRSRO) Application for Registration as a Nationally Recognized Statistical Rating Organization (Nrsro), Page 25

    25

  • SEC Form 1541 (NRSRO) Application for Registration as a Nationally Recognized Statistical Rating Organization (Nrsro), Page 26

    26

  • SEC Form 1541 (NRSRO) Application for Registration as a Nationally Recognized Statistical Rating Organization (Nrsro), Page 27

    27

  • SEC Form 1541 (NRSRO) Application for Registration as a Nationally Recognized Statistical Rating Organization (Nrsro), Page 28

    28

  • SEC Form 1541 (NRSRO) Application for Registration as a Nationally Recognized Statistical Rating Organization (Nrsro), Page 29

    29

  • SEC Form 1541 (NRSRO) Application for Registration as a Nationally Recognized Statistical Rating Organization (Nrsro), Page 30

    30

  • SEC Form 1541 (NRSRO) Application for Registration as a Nationally Recognized Statistical Rating Organization (Nrsro), Page 31

    31

  • SEC Form 1541 (NRSRO) Application for Registration as a Nationally Recognized Statistical Rating Organization (Nrsro), Page 32

    32

  • SEC Form 1541 (NRSRO) Application for Registration as a Nationally Recognized Statistical Rating Organization (Nrsro), Page 33

    33

  • SEC Form 1541 (NRSRO) Application for Registration as a Nationally Recognized Statistical Rating Organization (Nrsro), Page 34

    34

  • SEC Form 1541 (NRSRO) Application for Registration as a Nationally Recognized Statistical Rating Organization (Nrsro), Page 35

    35

  • SEC Form 1541 (NRSRO) Application for Registration as a Nationally Recognized Statistical Rating Organization (Nrsro), Page 36

    36

  • SEC Form 1541 (NRSRO) Application for Registration as a Nationally Recognized Statistical Rating Organization (Nrsro), Page 37

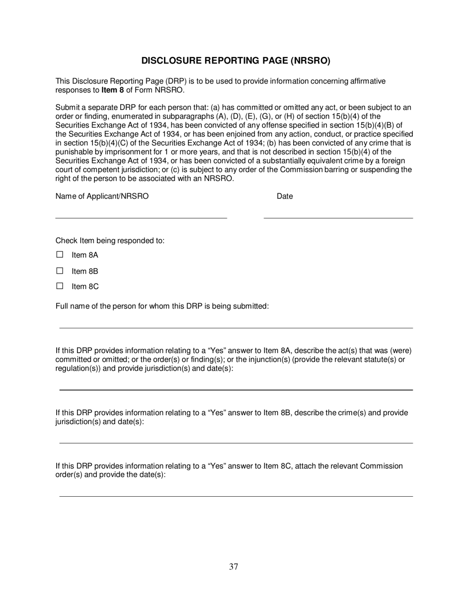
    37

  • SEC Form 1541 (NRSRO) Application for Registration as a Nationally Recognized Statistical Rating Organization (Nrsro), Page 1
  • SEC Form 1541 (NRSRO) Application for Registration as a Nationally Recognized Statistical Rating Organization (Nrsro), Page 2
  • SEC Form 1541 (NRSRO) Application for Registration as a Nationally Recognized Statistical Rating Organization (Nrsro), Page 3
  • SEC Form 1541 (NRSRO) Application for Registration as a Nationally Recognized Statistical Rating Organization (Nrsro), Page 4
  • SEC Form 1541 (NRSRO) Application for Registration as a Nationally Recognized Statistical Rating Organization (Nrsro), Page 5
  • SEC Form 1541 (NRSRO) Application for Registration as a Nationally Recognized Statistical Rating Organization (Nrsro), Page 6
  • SEC Form 1541 (NRSRO) Application for Registration as a Nationally Recognized Statistical Rating Organization (Nrsro), Page 7
  • SEC Form 1541 (NRSRO) Application for Registration as a Nationally Recognized Statistical Rating Organization (Nrsro), Page 8
  • SEC Form 1541 (NRSRO) Application for Registration as a Nationally Recognized Statistical Rating Organization (Nrsro), Page 9
  • SEC Form 1541 (NRSRO) Application for Registration as a Nationally Recognized Statistical Rating Organization (Nrsro), Page 10
  • SEC Form 1541 (NRSRO) Application for Registration as a Nationally Recognized Statistical Rating Organization (Nrsro), Page 11
  • SEC Form 1541 (NRSRO) Application for Registration as a Nationally Recognized Statistical Rating Organization (Nrsro), Page 12
  • SEC Form 1541 (NRSRO) Application for Registration as a Nationally Recognized Statistical Rating Organization (Nrsro), Page 13
  • SEC Form 1541 (NRSRO) Application for Registration as a Nationally Recognized Statistical Rating Organization (Nrsro), Page 14
  • SEC Form 1541 (NRSRO) Application for Registration as a Nationally Recognized Statistical Rating Organization (Nrsro), Page 15
  • SEC Form 1541 (NRSRO) Application for Registration as a Nationally Recognized Statistical Rating Organization (Nrsro), Page 16
  • SEC Form 1541 (NRSRO) Application for Registration as a Nationally Recognized Statistical Rating Organization (Nrsro), Page 17
  • SEC Form 1541 (NRSRO) Application for Registration as a Nationally Recognized Statistical Rating Organization (Nrsro), Page 18
  • SEC Form 1541 (NRSRO) Application for Registration as a Nationally Recognized Statistical Rating Organization (Nrsro), Page 19
  • SEC Form 1541 (NRSRO) Application for Registration as a Nationally Recognized Statistical Rating Organization (Nrsro), Page 20
  • SEC Form 1541 (NRSRO) Application for Registration as a Nationally Recognized Statistical Rating Organization (Nrsro), Page 21
  • SEC Form 1541 (NRSRO) Application for Registration as a Nationally Recognized Statistical Rating Organization (Nrsro), Page 22
  • SEC Form 1541 (NRSRO) Application for Registration as a Nationally Recognized Statistical Rating Organization (Nrsro), Page 23
  • SEC Form 1541 (NRSRO) Application for Registration as a Nationally Recognized Statistical Rating Organization (Nrsro), Page 24
  • SEC Form 1541 (NRSRO) Application for Registration as a Nationally Recognized Statistical Rating Organization (Nrsro), Page 25
  • SEC Form 1541 (NRSRO) Application for Registration as a Nationally Recognized Statistical Rating Organization (Nrsro), Page 26
  • SEC Form 1541 (NRSRO) Application for Registration as a Nationally Recognized Statistical Rating Organization (Nrsro), Page 27
  • SEC Form 1541 (NRSRO) Application for Registration as a Nationally Recognized Statistical Rating Organization (Nrsro), Page 28
  • SEC Form 1541 (NRSRO) Application for Registration as a Nationally Recognized Statistical Rating Organization (Nrsro), Page 29
  • SEC Form 1541 (NRSRO) Application for Registration as a Nationally Recognized Statistical Rating Organization (Nrsro), Page 30
  • SEC Form 1541 (NRSRO) Application for Registration as a Nationally Recognized Statistical Rating Organization (Nrsro), Page 31
  • SEC Form 1541 (NRSRO) Application for Registration as a Nationally Recognized Statistical Rating Organization (Nrsro), Page 32
  • SEC Form 1541 (NRSRO) Application for Registration as a Nationally Recognized Statistical Rating Organization (Nrsro), Page 33
  • SEC Form 1541 (NRSRO) Application for Registration as a Nationally Recognized Statistical Rating Organization (Nrsro), Page 34
  • SEC Form 1541 (NRSRO) Application for Registration as a Nationally Recognized Statistical Rating Organization (Nrsro), Page 35
  • SEC Form 1541 (NRSRO) Application for Registration as a Nationally Recognized Statistical Rating Organization (Nrsro), Page 36
  • SEC Form 1541 (NRSRO) Application for Registration as a Nationally Recognized Statistical Rating Organization (Nrsro), Page 37
Prev 1 2 3 4 5 ... 37 Next
ADVERTISEMENT

Related Documents