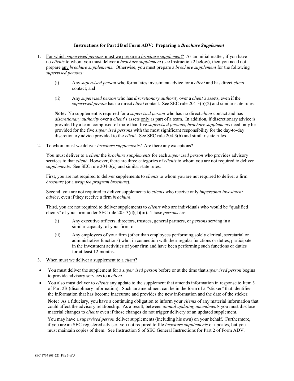
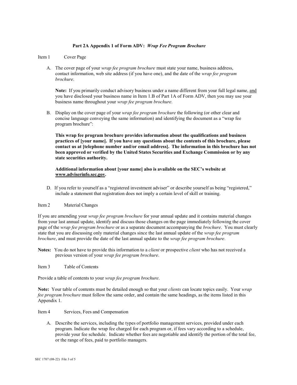
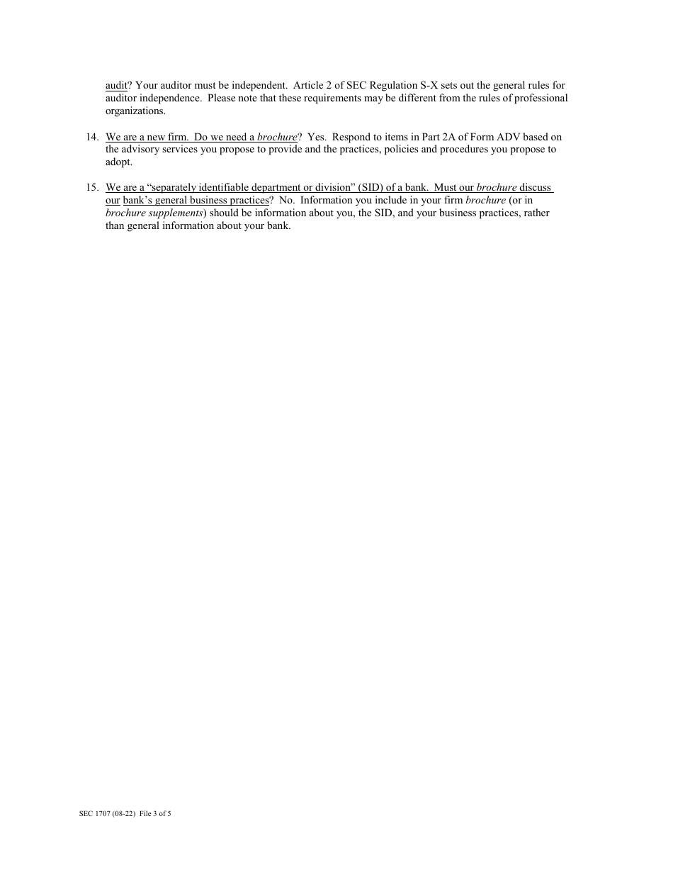
Form ADV (SEC Form 1707) Part 2 Uniform Application for Investment Adviser Registration - Uniform Requirements for the Investment Adviser Brochure and Brochure Supplements

Form ADV (SEC Form 1707) Part 2 Uniform Application for Investment Adviser Registration - Uniform Requirements for the Investment Adviser Brochure and Brochure Supplements

What Is Form ADV (SEC Form 1707) Part 2?

This is a legal form that was released by the U.S. Securities and Exchange Commission on August 1, 2022 and used country-wide. Check the official instructions before completing and submitting the form.

FAQ

Q: What is Form ADV?
A: Form ADV is a form required by the Securities and Exchange Commission (SEC) for investment advisers to register with.

Q: What is SEC Form 1707?
A: SEC Form 1707 is the Form ADV Part 2, also known as the Uniform Application for Investment Adviser Registration.

Q: What is included in Part 2 of Form ADV?
A: Part 2 of Form ADV includes the requirements for the investment adviser brochure and brochure supplements.

Q: What is an investment adviser brochure?
A: An investment adviser brochure is a document that provides information about an investment adviser's services, fees, disciplinary history, and other important details.

Q: What are brochure supplements?
A: Brochure supplements are documents that provide additional information about the individuals who work for the investment adviser and provide advice to clients.

Q: Why are investment adviser brochures and brochure supplements important?
A: Investment adviser brochures and brochure supplements provide important information to clients about the adviser and its personnel, helping them make informed decisions about their investments.

Q: Who is required to file Form ADV?
A: Investment advisers are required to file Form ADV with the SEC in order to register and provide information about their business.

Q: What happens if an investment adviser fails to file Form ADV?
A: Failure to file Form ADV or provide accurate information can result in disciplinary action by the SEC or state securities regulators.

Q: Is Form ADV required in both the United States and Canada?
A: Form ADV is a requirement for investment advisers registered with the SEC in the United States. Canada has its own registration requirements for investment advisers.

ADVERTISEMENT

Form Details:

  • Released on August 1, 2022;
  • The latest available edition released by the U.S. Securities and Exchange Commission;
  • Easy to use and ready to print;
  • Yours to fill out and keep for your records;
  • Compatible with most PDF-viewing applications;
  • Fill out the form in our online filing application.

Download a printable version of Form ADV (SEC Form 1707) Part 2 by clicking the link below or browse more documents and templates provided by the U.S. Securities and Exchange Commission.

Download Form ADV (SEC Form 1707) Part 2 Uniform Application for Investment Adviser Registration - Uniform Requirements for the Investment Adviser Brochure and Brochure Supplements

4.4 of 5 (22 votes)
  • Form ADV (SEC Form 1707) Part 2 Uniform Application for Investment Adviser Registration - Uniform Requirements for the Investment Adviser Brochure and Brochure Supplements

    1

  • Form ADV (SEC Form 1707) Part 2 Uniform Application for Investment Adviser Registration - Uniform Requirements for the Investment Adviser Brochure and Brochure Supplements, Page 2

    2

  • Form ADV (SEC Form 1707) Part 2 Uniform Application for Investment Adviser Registration - Uniform Requirements for the Investment Adviser Brochure and Brochure Supplements, Page 3

    3

  • Form ADV (SEC Form 1707) Part 2 Uniform Application for Investment Adviser Registration - Uniform Requirements for the Investment Adviser Brochure and Brochure Supplements, Page 4

    4

  • Form ADV (SEC Form 1707) Part 2 Uniform Application for Investment Adviser Registration - Uniform Requirements for the Investment Adviser Brochure and Brochure Supplements, Page 5

    5

  • Form ADV (SEC Form 1707) Part 2 Uniform Application for Investment Adviser Registration - Uniform Requirements for the Investment Adviser Brochure and Brochure Supplements, Page 6

    6

  • Form ADV (SEC Form 1707) Part 2 Uniform Application for Investment Adviser Registration - Uniform Requirements for the Investment Adviser Brochure and Brochure Supplements, Page 7

    7

  • Form ADV (SEC Form 1707) Part 2 Uniform Application for Investment Adviser Registration - Uniform Requirements for the Investment Adviser Brochure and Brochure Supplements, Page 8

    8

  • Form ADV (SEC Form 1707) Part 2 Uniform Application for Investment Adviser Registration - Uniform Requirements for the Investment Adviser Brochure and Brochure Supplements, Page 9

    9

  • Form ADV (SEC Form 1707) Part 2 Uniform Application for Investment Adviser Registration - Uniform Requirements for the Investment Adviser Brochure and Brochure Supplements, Page 10

    10

  • Form ADV (SEC Form 1707) Part 2 Uniform Application for Investment Adviser Registration - Uniform Requirements for the Investment Adviser Brochure and Brochure Supplements, Page 11

    11

  • Form ADV (SEC Form 1707) Part 2 Uniform Application for Investment Adviser Registration - Uniform Requirements for the Investment Adviser Brochure and Brochure Supplements, Page 12

    12

  • Form ADV (SEC Form 1707) Part 2 Uniform Application for Investment Adviser Registration - Uniform Requirements for the Investment Adviser Brochure and Brochure Supplements, Page 13

    13

  • Form ADV (SEC Form 1707) Part 2 Uniform Application for Investment Adviser Registration - Uniform Requirements for the Investment Adviser Brochure and Brochure Supplements, Page 14

    14

  • Form ADV (SEC Form 1707) Part 2 Uniform Application for Investment Adviser Registration - Uniform Requirements for the Investment Adviser Brochure and Brochure Supplements, Page 15

    15

  • Form ADV (SEC Form 1707) Part 2 Uniform Application for Investment Adviser Registration - Uniform Requirements for the Investment Adviser Brochure and Brochure Supplements, Page 16

    16

  • Form ADV (SEC Form 1707) Part 2 Uniform Application for Investment Adviser Registration - Uniform Requirements for the Investment Adviser Brochure and Brochure Supplements, Page 17

    17

  • Form ADV (SEC Form 1707) Part 2 Uniform Application for Investment Adviser Registration - Uniform Requirements for the Investment Adviser Brochure and Brochure Supplements, Page 18

    18

  • Form ADV (SEC Form 1707) Part 2 Uniform Application for Investment Adviser Registration - Uniform Requirements for the Investment Adviser Brochure and Brochure Supplements, Page 19

    19

  • Form ADV (SEC Form 1707) Part 2 Uniform Application for Investment Adviser Registration - Uniform Requirements for the Investment Adviser Brochure and Brochure Supplements, Page 20

    20

  • Form ADV (SEC Form 1707) Part 2 Uniform Application for Investment Adviser Registration - Uniform Requirements for the Investment Adviser Brochure and Brochure Supplements, Page 21

    21

  • Form ADV (SEC Form 1707) Part 2 Uniform Application for Investment Adviser Registration - Uniform Requirements for the Investment Adviser Brochure and Brochure Supplements, Page 22

    22

  • Form ADV (SEC Form 1707) Part 2 Uniform Application for Investment Adviser Registration - Uniform Requirements for the Investment Adviser Brochure and Brochure Supplements, Page 23

    23

  • Form ADV (SEC Form 1707) Part 2 Uniform Application for Investment Adviser Registration - Uniform Requirements for the Investment Adviser Brochure and Brochure Supplements, Page 24

    24

  • Form ADV (SEC Form 1707) Part 2 Uniform Application for Investment Adviser Registration - Uniform Requirements for the Investment Adviser Brochure and Brochure Supplements, Page 25

    25

  • Form ADV (SEC Form 1707) Part 2 Uniform Application for Investment Adviser Registration - Uniform Requirements for the Investment Adviser Brochure and Brochure Supplements, Page 26

    26

  • Form ADV (SEC Form 1707) Part 2 Uniform Application for Investment Adviser Registration - Uniform Requirements for the Investment Adviser Brochure and Brochure Supplements, Page 1
  • Form ADV (SEC Form 1707) Part 2 Uniform Application for Investment Adviser Registration - Uniform Requirements for the Investment Adviser Brochure and Brochure Supplements, Page 2
  • Form ADV (SEC Form 1707) Part 2 Uniform Application for Investment Adviser Registration - Uniform Requirements for the Investment Adviser Brochure and Brochure Supplements, Page 3
  • Form ADV (SEC Form 1707) Part 2 Uniform Application for Investment Adviser Registration - Uniform Requirements for the Investment Adviser Brochure and Brochure Supplements, Page 4
  • Form ADV (SEC Form 1707) Part 2 Uniform Application for Investment Adviser Registration - Uniform Requirements for the Investment Adviser Brochure and Brochure Supplements, Page 5
  • Form ADV (SEC Form 1707) Part 2 Uniform Application for Investment Adviser Registration - Uniform Requirements for the Investment Adviser Brochure and Brochure Supplements, Page 6
  • Form ADV (SEC Form 1707) Part 2 Uniform Application for Investment Adviser Registration - Uniform Requirements for the Investment Adviser Brochure and Brochure Supplements, Page 7
  • Form ADV (SEC Form 1707) Part 2 Uniform Application for Investment Adviser Registration - Uniform Requirements for the Investment Adviser Brochure and Brochure Supplements, Page 8
  • Form ADV (SEC Form 1707) Part 2 Uniform Application for Investment Adviser Registration - Uniform Requirements for the Investment Adviser Brochure and Brochure Supplements, Page 9
  • Form ADV (SEC Form 1707) Part 2 Uniform Application for Investment Adviser Registration - Uniform Requirements for the Investment Adviser Brochure and Brochure Supplements, Page 10
  • Form ADV (SEC Form 1707) Part 2 Uniform Application for Investment Adviser Registration - Uniform Requirements for the Investment Adviser Brochure and Brochure Supplements, Page 11
  • Form ADV (SEC Form 1707) Part 2 Uniform Application for Investment Adviser Registration - Uniform Requirements for the Investment Adviser Brochure and Brochure Supplements, Page 12
  • Form ADV (SEC Form 1707) Part 2 Uniform Application for Investment Adviser Registration - Uniform Requirements for the Investment Adviser Brochure and Brochure Supplements, Page 13
  • Form ADV (SEC Form 1707) Part 2 Uniform Application for Investment Adviser Registration - Uniform Requirements for the Investment Adviser Brochure and Brochure Supplements, Page 14
  • Form ADV (SEC Form 1707) Part 2 Uniform Application for Investment Adviser Registration - Uniform Requirements for the Investment Adviser Brochure and Brochure Supplements, Page 15
  • Form ADV (SEC Form 1707) Part 2 Uniform Application for Investment Adviser Registration - Uniform Requirements for the Investment Adviser Brochure and Brochure Supplements, Page 16
  • Form ADV (SEC Form 1707) Part 2 Uniform Application for Investment Adviser Registration - Uniform Requirements for the Investment Adviser Brochure and Brochure Supplements, Page 17
  • Form ADV (SEC Form 1707) Part 2 Uniform Application for Investment Adviser Registration - Uniform Requirements for the Investment Adviser Brochure and Brochure Supplements, Page 18
  • Form ADV (SEC Form 1707) Part 2 Uniform Application for Investment Adviser Registration - Uniform Requirements for the Investment Adviser Brochure and Brochure Supplements, Page 19
  • Form ADV (SEC Form 1707) Part 2 Uniform Application for Investment Adviser Registration - Uniform Requirements for the Investment Adviser Brochure and Brochure Supplements, Page 20
  • Form ADV (SEC Form 1707) Part 2 Uniform Application for Investment Adviser Registration - Uniform Requirements for the Investment Adviser Brochure and Brochure Supplements, Page 21
  • Form ADV (SEC Form 1707) Part 2 Uniform Application for Investment Adviser Registration - Uniform Requirements for the Investment Adviser Brochure and Brochure Supplements, Page 22
  • Form ADV (SEC Form 1707) Part 2 Uniform Application for Investment Adviser Registration - Uniform Requirements for the Investment Adviser Brochure and Brochure Supplements, Page 23
  • Form ADV (SEC Form 1707) Part 2 Uniform Application for Investment Adviser Registration - Uniform Requirements for the Investment Adviser Brochure and Brochure Supplements, Page 24
  • Form ADV (SEC Form 1707) Part 2 Uniform Application for Investment Adviser Registration - Uniform Requirements for the Investment Adviser Brochure and Brochure Supplements, Page 25
  • Form ADV (SEC Form 1707) Part 2 Uniform Application for Investment Adviser Registration - Uniform Requirements for the Investment Adviser Brochure and Brochure Supplements, Page 26
Prev 1 2 3 4 5 ... 26 Next
ADVERTISEMENT