Form MV-700 Application for Refund of(motor Vehicle / Driver License Products - Pennsylvania

Notification Icon This version of the form is not currently in use and is provided for reference only. Download this version of Form MV-700 for the current year.

Form MV-700 Application for Refund of(motor Vehicle / Driver License Products - Pennsylvania

What Is Form MV-700?

This is a legal form that was released by the Pennsylvania Department of Transportation - a government authority operating within Pennsylvania. As of today, no separate filing guidelines for the form are provided by the issuing department.

FAQ

Q: What is Form MV-700?
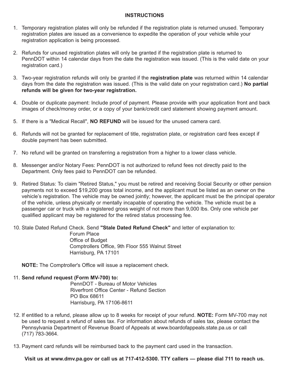
A: Form MV-700 is an application for refund of motor vehicle/driver license products.

Q: What can I use Form MV-700 for?
A: You can use Form MV-700 to request a refund for motor vehicle or driver license products in Pennsylvania.

Q: What information do I need to provide on Form MV-700?
A: You will need to provide personal details, information about the product for which you are requesting a refund, and the reason for the refund.

Q: Is there a fee for submitting Form MV-700?
A: No, there is no fee for submitting Form MV-700.

Q: How long does it take to process a refund request with Form MV-700?
A: The processing time for refund requests may vary, but PennDOT aims to process them within a reasonable time frame.

Q: Who should I contact for more information about Form MV-700?
A: For more information about Form MV-700, you can contact the Pennsylvania Department of Transportation (PennDOT) customer service.

ADVERTISEMENT

Form Details:

  • Released on July 1, 2019;
  • The latest edition provided by the Pennsylvania Department of Transportation;
  • Easy to use and ready to print;
  • Quick to customize;
  • Compatible with most PDF-viewing applications;
  • Fill out the form in our online filing application.

Download a fillable version of Form MV-700 by clicking the link below or browse more documents and templates provided by the Pennsylvania Department of Transportation.

Download Form MV-700 Application for Refund of(motor Vehicle / Driver License Products - Pennsylvania

4.8 of 5 (11 votes)
  • Form MV-700 Application for Refund of(motor Vehicle/Driver License Products - Pennsylvania

    1

  • Form MV-700 Application for Refund of(motor Vehicle/Driver License Products - Pennsylvania, Page 2

    2

  • Form MV-700 Application for Refund of(motor Vehicle / Driver License Products - Pennsylvania, Page 1
  • Form MV-700 Application for Refund of(motor Vehicle / Driver License Products - Pennsylvania, Page 2
Prev 1 2 Next
ADVERTISEMENT