Form MV-426B Application for Reconstructed, Specially Constructed, Collectible, Modified, Flood, Recovered Theft Vehicles and Street Rods - Pennsylvania

Notification Icon This version of the form is not currently in use and is provided for reference only. Download this version of Form MV-426B for the current year.

Form MV-426B Application for Reconstructed, Specially Constructed, Collectible, Modified, Flood, Recovered Theft Vehicles and Street Rods - Pennsylvania

What Is Form MV-426B?

This is a legal form that was released by the Pennsylvania Department of Transportation - a government authority operating within Pennsylvania. As of today, no separate filing guidelines for the form are provided by the issuing department.

FAQ

Q: What is Form MV-426B?
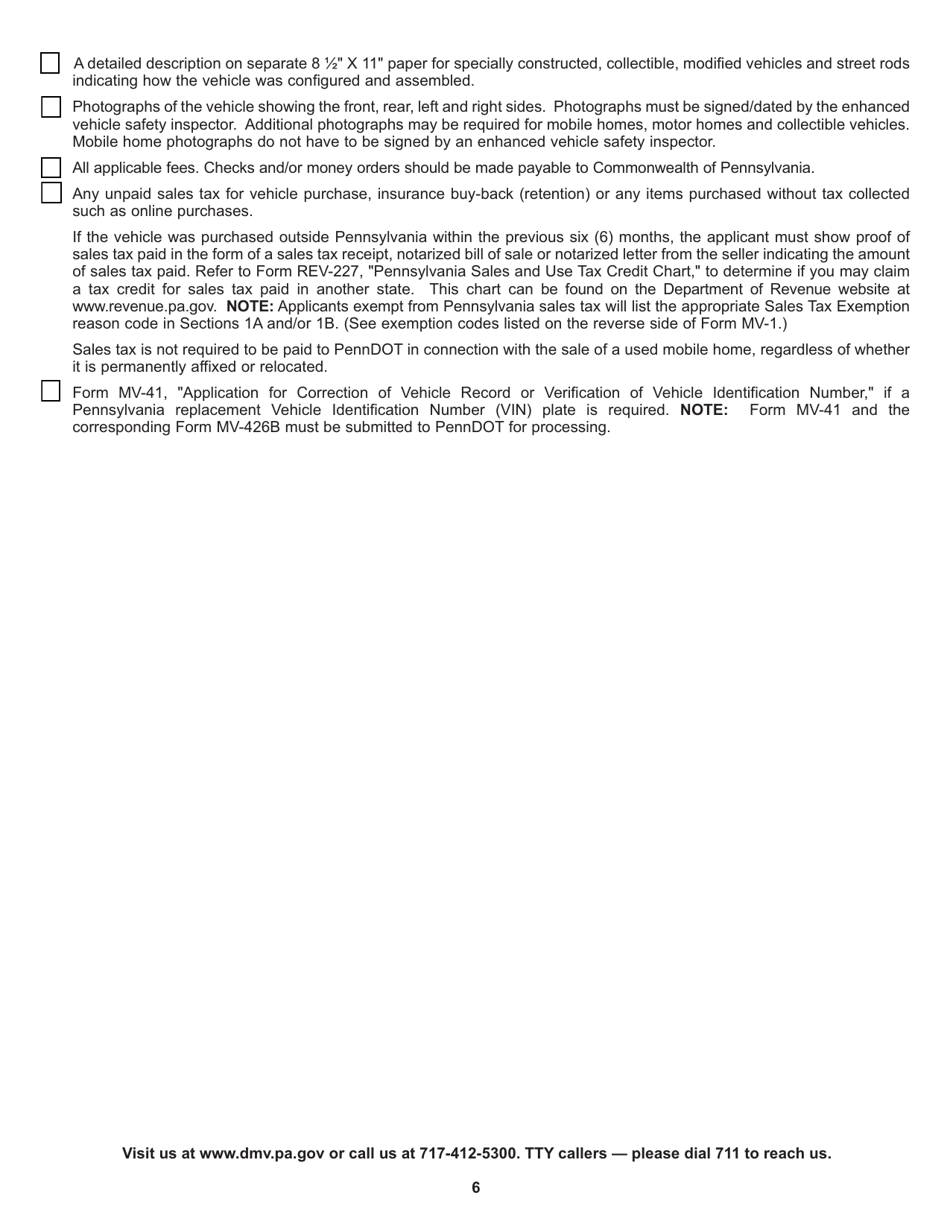
A: Form MV-426B is an application form in Pennsylvania for reconstructed, specially constructed, collectible, modified, flood, recovered theft vehicles, and street rods.

Q: What does Form MV-426B apply to?
A: Form MV-426B applies to vehicles that fall under categories such as reconstructed, specially constructed, collectible, modified, flood, recovered theft vehicles, and street rods.

Q: What is the purpose of Form MV-426B?
A: The purpose of Form MV-426B is to apply for various considerations and inspections related to vehicles that fall under the specified categories.

Q: What information is required on Form MV-426B?
A: Form MV-426B requires the applicant to provide information about the vehicle, its specifications, any modifications, and the reason for the application.

Q: Are there any fees associated with Form MV-426B?
A: Yes, there are fees associated with Form MV-426B. The specific fees depend on the type of application and services requested.

Q: Are there any additional documents required with Form MV-426B?
A: Yes, additional documents may be required depending on the type of application. It is best to check the instructions provided with the form for the specific requirements.

Q: What happens after I submit Form MV-426B?
A: After submitting Form MV-426B, the application will be reviewed, and if approved, further inspections or considerations may be required before the vehicle can be registered or titled.

ADVERTISEMENT

Form Details:

  • Released on July 1, 2021;
  • The latest edition provided by the Pennsylvania Department of Transportation;
  • Easy to use and ready to print;
  • Quick to customize;
  • Compatible with most PDF-viewing applications;
  • Fill out the form in our online filing application.

Download a fillable version of Form MV-426B by clicking the link below or browse more documents and templates provided by the Pennsylvania Department of Transportation.

Download Form MV-426B Application for Reconstructed, Specially Constructed, Collectible, Modified, Flood, Recovered Theft Vehicles and Street Rods - Pennsylvania

4.6 of 5 (25 votes)
  • Form MV-426B Application for Reconstructed, Specially Constructed, Collectible, Modified, Flood, Recovered Theft Vehicles and Street Rods - Pennsylvania

    1

  • Form MV-426B Application for Reconstructed, Specially Constructed, Collectible, Modified, Flood, Recovered Theft Vehicles and Street Rods - Pennsylvania, Page 2

    2

  • Form MV-426B Application for Reconstructed, Specially Constructed, Collectible, Modified, Flood, Recovered Theft Vehicles and Street Rods - Pennsylvania, Page 3

    3

  • Form MV-426B Application for Reconstructed, Specially Constructed, Collectible, Modified, Flood, Recovered Theft Vehicles and Street Rods - Pennsylvania, Page 4

    4

  • Form MV-426B Application for Reconstructed, Specially Constructed, Collectible, Modified, Flood, Recovered Theft Vehicles and Street Rods - Pennsylvania, Page 5

    5

  • Form MV-426B Application for Reconstructed, Specially Constructed, Collectible, Modified, Flood, Recovered Theft Vehicles and Street Rods - Pennsylvania, Page 6

    6

  • Form MV-426B Application for Reconstructed, Specially Constructed, Collectible, Modified, Flood, Recovered Theft Vehicles and Street Rods - Pennsylvania, Page 1
  • Form MV-426B Application for Reconstructed, Specially Constructed, Collectible, Modified, Flood, Recovered Theft Vehicles and Street Rods - Pennsylvania, Page 2
  • Form MV-426B Application for Reconstructed, Specially Constructed, Collectible, Modified, Flood, Recovered Theft Vehicles and Street Rods - Pennsylvania, Page 3
  • Form MV-426B Application for Reconstructed, Specially Constructed, Collectible, Modified, Flood, Recovered Theft Vehicles and Street Rods - Pennsylvania, Page 4
  • Form MV-426B Application for Reconstructed, Specially Constructed, Collectible, Modified, Flood, Recovered Theft Vehicles and Street Rods - Pennsylvania, Page 5
  • Form MV-426B Application for Reconstructed, Specially Constructed, Collectible, Modified, Flood, Recovered Theft Vehicles and Street Rods - Pennsylvania, Page 6
Prev 1 2 3 4 5 6 Next
ADVERTISEMENT