Application for Branch Bank - Expedited - Arkansas

Notification Icon This version of the form is not currently in use and is provided for reference only. Download this version of the document for the current year.

Application for Branch Bank - Expedited - Arkansas

Application for Branch Bank - Expedited is a legal document that was released by the Arkansas State Bank Department - a government authority operating within Arkansas.

FAQ

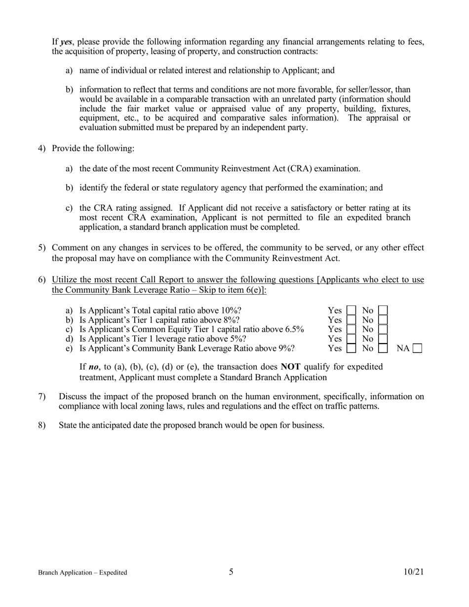
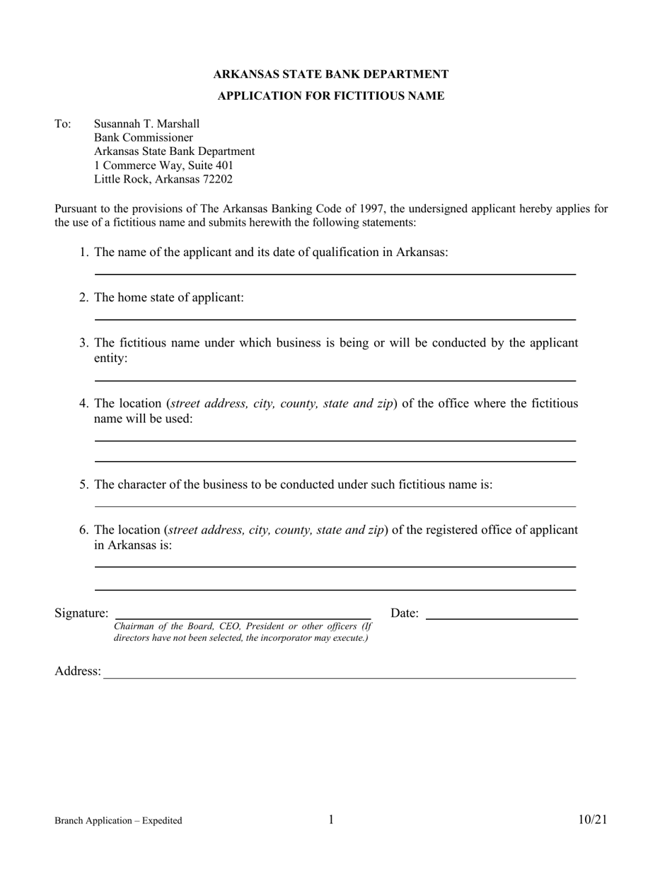
Q: What is an expedited branch bank application?
A: An expedited branch bank application is a fast-track process for opening a new branch bank in Arkansas.

Q: How can I apply for an expedited branch bank in Arkansas?
A: You can apply for an expedited branch bank in Arkansas by completing the necessary application forms and submitting them to the appropriate regulatory authorities.

Q: What are the requirements for an expedited branch bank application in Arkansas?
A: The specific requirements for an expedited branch bank application in Arkansas may vary, but generally include proof of financial stability, a proposed location for the branch, and compliance with applicable laws and regulations.

Q: How long does it take to process an expedited branch bank application in Arkansas?
A: The processing time for an expedited branch bank application in Arkansas can vary, but it is typically faster than the standard application process.

Q: Are there any fees associated with an expedited branch bank application in Arkansas?
A: Yes, there may be fees associated with an expedited branch bank application in Arkansas. You should contact the regulatory authorities for more information on the specific fees.

Q: Can I open a branch bank in Arkansas without an expedited application?
A: Yes, you can still open a branch bank in Arkansas without an expedited application. The expedited process is optional and designed to expedite the application process.

Q: Is an expedited branch bank application guaranteed to be approved in Arkansas?
A: No, an expedited branch bank application in Arkansas is not guaranteed to be approved. It is subject to review and approval by the regulatory authorities.

Q: What should I do if my expedited branch bank application is denied in Arkansas?
A: If your expedited branch bank application is denied in Arkansas, you may have options for appeal or reconsideration. You should consult with legal and regulatory experts for guidance.

ADVERTISEMENT

Form Details:

  • Released on October 1, 2021;
  • The latest edition currently provided by the Arkansas State Bank Department;
  • Ready to use and print;
  • Easy to customize;
  • Compatible with most PDF-viewing applications;
  • Fill out the form in our online filing application.

Download a printable version of the form by clicking the link below or browse more documents and templates provided by the Arkansas State Bank Department.

Download Application for Branch Bank - Expedited - Arkansas

4.4 of 5 (14 votes)
  • Application for Branch Bank - Expedited - Arkansas

    1

  • Application for Branch Bank - Expedited - Arkansas, Page 2

    2

  • Application for Branch Bank - Expedited - Arkansas, Page 3

    3

  • Application for Branch Bank - Expedited - Arkansas, Page 4

    4

  • Application for Branch Bank - Expedited - Arkansas, Page 5

    5

  • Application for Branch Bank - Expedited - Arkansas, Page 6

    6

  • Application for Branch Bank - Expedited - Arkansas, Page 7

    7

  • Application for Branch Bank - Expedited - Arkansas, Page 8

    8

  • Application for Branch Bank - Expedited - Arkansas, Page 9

    9

  • Application for Branch Bank - Expedited - Arkansas, Page 10

    10

  • Application for Branch Bank - Expedited - Arkansas, Page 11

    11

  • Application for Branch Bank - Expedited - Arkansas, Page 12

    12

  • Application for Branch Bank - Expedited - Arkansas, Page 1
  • Application for Branch Bank - Expedited - Arkansas, Page 2
  • Application for Branch Bank - Expedited - Arkansas, Page 3
  • Application for Branch Bank - Expedited - Arkansas, Page 4
  • Application for Branch Bank - Expedited - Arkansas, Page 5
  • Application for Branch Bank - Expedited - Arkansas, Page 6
  • Application for Branch Bank - Expedited - Arkansas, Page 7
  • Application for Branch Bank - Expedited - Arkansas, Page 8
  • Application for Branch Bank - Expedited - Arkansas, Page 9
  • Application for Branch Bank - Expedited - Arkansas, Page 10
  • Application for Branch Bank - Expedited - Arkansas, Page 11
  • Application for Branch Bank - Expedited - Arkansas, Page 12
Prev 1 2 3 4 5 ... 12 Next
ADVERTISEMENT