DEP Form 62-701.900(1) Application for a Permit to Construct, Operate, Modify or Close a Solid Waste Management Facility - Florida

DEP Form 62-701.900(1) Application for a Permit to Construct, Operate, Modify or Close a Solid Waste Management Facility - Florida

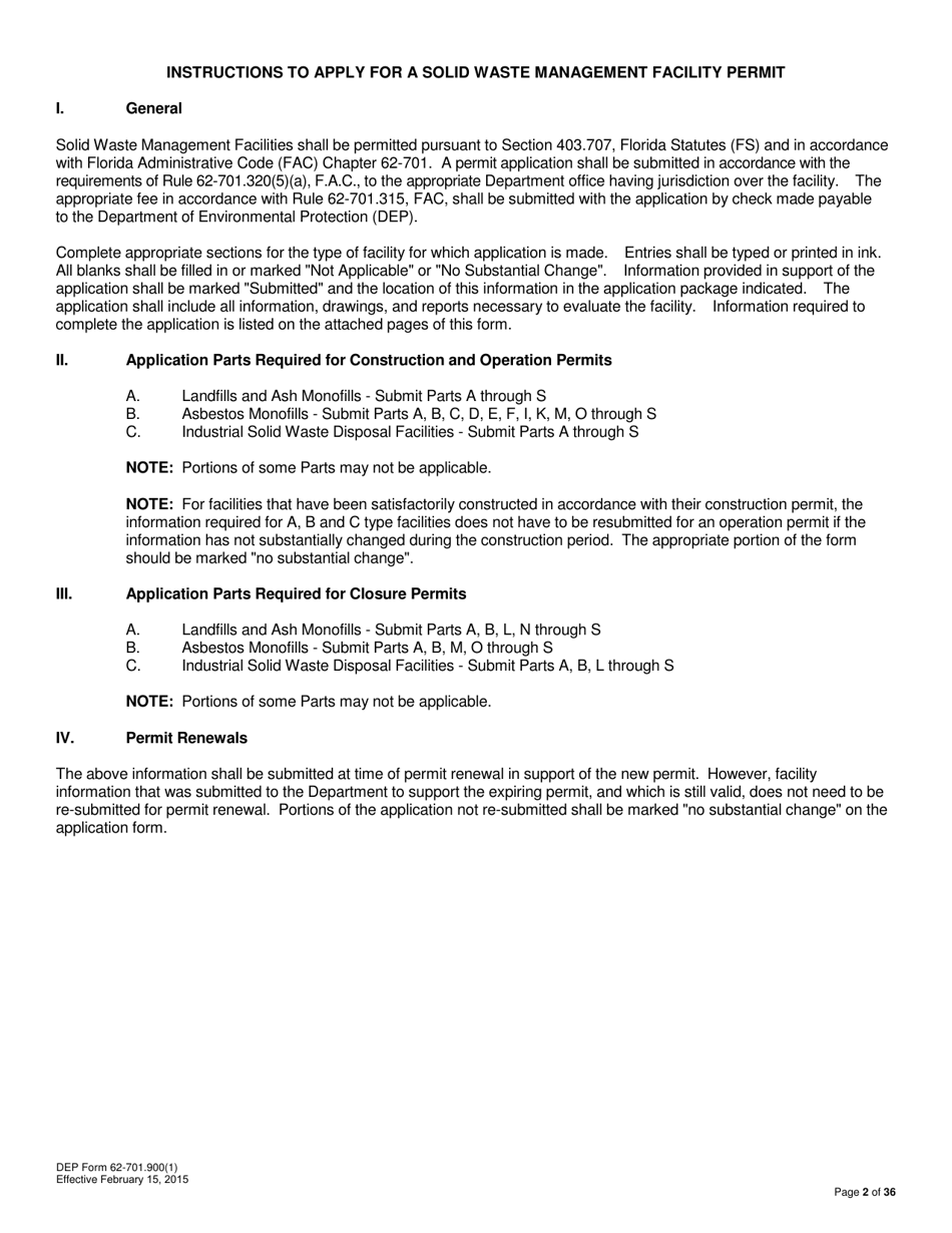
What Is DEP Form 62-701.900(1)?

This is a legal form that was released by the Florida Department of Environmental Protection - a government authority operating within Florida. As of today, no separate filing guidelines for the form are provided by the issuing department.

FAQ

Q: What is DEP Form 62-701.900(1)?
A: DEP Form 62-701.900(1) is the application form used in Florida to apply for a permit to construct, operate, modify or close a solid waste management facility.

Q: What is the purpose of DEP Form 62-701.900(1)?
A: The purpose of DEP Form 62-701.900(1) is to gather information and details about the proposed solid waste management facility, including its construction, operation, modification, or closure plans.

Q: Who needs to fill out DEP Form 62-701.900(1)?
A: Any individual or organization planning to construct, operate, modify, or close a solid waste management facility in Florida needs to fill out DEP Form 62-701.900(1).

Q: What information is required in DEP Form 62-701.900(1)?
A: DEP Form 62-701.900(1) requires information about the facility's location, design, operation plans, waste management procedures, closure plans, and other relevant details.

ADVERTISEMENT

Form Details:

  • Released on February 15, 2015;
  • The latest edition provided by the Florida Department of Environmental Protection;
  • Easy to use and ready to print;
  • Quick to customize;
  • Compatible with most PDF-viewing applications;
  • Fill out the form in our online filing application.

Download a fillable version of DEP Form 62-701.900(1) by clicking the link below or browse more documents and templates provided by the Florida Department of Environmental Protection.

Download DEP Form 62-701.900(1) Application for a Permit to Construct, Operate, Modify or Close a Solid Waste Management Facility - Florida

4.7 of 5 (10 votes)
  • DEP Form 62-701.900(1) Application for a Permit to Construct, Operate, Modify or Close a Solid Waste Management Facility - Florida

    1

  • DEP Form 62-701.900(1) Application for a Permit to Construct, Operate, Modify or Close a Solid Waste Management Facility - Florida, Page 2

    2

  • DEP Form 62-701.900(1) Application for a Permit to Construct, Operate, Modify or Close a Solid Waste Management Facility - Florida, Page 3

    3

  • DEP Form 62-701.900(1) Application for a Permit to Construct, Operate, Modify or Close a Solid Waste Management Facility - Florida, Page 4

    4

  • DEP Form 62-701.900(1) Application for a Permit to Construct, Operate, Modify or Close a Solid Waste Management Facility - Florida, Page 5

    5

  • DEP Form 62-701.900(1) Application for a Permit to Construct, Operate, Modify or Close a Solid Waste Management Facility - Florida, Page 6

    6

  • DEP Form 62-701.900(1) Application for a Permit to Construct, Operate, Modify or Close a Solid Waste Management Facility - Florida, Page 7

    7

  • DEP Form 62-701.900(1) Application for a Permit to Construct, Operate, Modify or Close a Solid Waste Management Facility - Florida, Page 8

    8

  • DEP Form 62-701.900(1) Application for a Permit to Construct, Operate, Modify or Close a Solid Waste Management Facility - Florida, Page 9

    9

  • DEP Form 62-701.900(1) Application for a Permit to Construct, Operate, Modify or Close a Solid Waste Management Facility - Florida, Page 10

    10

  • DEP Form 62-701.900(1) Application for a Permit to Construct, Operate, Modify or Close a Solid Waste Management Facility - Florida, Page 11

    11

  • DEP Form 62-701.900(1) Application for a Permit to Construct, Operate, Modify or Close a Solid Waste Management Facility - Florida, Page 12

    12

  • DEP Form 62-701.900(1) Application for a Permit to Construct, Operate, Modify or Close a Solid Waste Management Facility - Florida, Page 13

    13

  • DEP Form 62-701.900(1) Application for a Permit to Construct, Operate, Modify or Close a Solid Waste Management Facility - Florida, Page 14

    14

  • DEP Form 62-701.900(1) Application for a Permit to Construct, Operate, Modify or Close a Solid Waste Management Facility - Florida, Page 15

    15

  • DEP Form 62-701.900(1) Application for a Permit to Construct, Operate, Modify or Close a Solid Waste Management Facility - Florida, Page 16

    16

  • DEP Form 62-701.900(1) Application for a Permit to Construct, Operate, Modify or Close a Solid Waste Management Facility - Florida, Page 17

    17

  • DEP Form 62-701.900(1) Application for a Permit to Construct, Operate, Modify or Close a Solid Waste Management Facility - Florida, Page 18

    18

  • DEP Form 62-701.900(1) Application for a Permit to Construct, Operate, Modify or Close a Solid Waste Management Facility - Florida, Page 19

    19

  • DEP Form 62-701.900(1) Application for a Permit to Construct, Operate, Modify or Close a Solid Waste Management Facility - Florida, Page 20

    20

  • DEP Form 62-701.900(1) Application for a Permit to Construct, Operate, Modify or Close a Solid Waste Management Facility - Florida, Page 21

    21

  • DEP Form 62-701.900(1) Application for a Permit to Construct, Operate, Modify or Close a Solid Waste Management Facility - Florida, Page 22

    22

  • DEP Form 62-701.900(1) Application for a Permit to Construct, Operate, Modify or Close a Solid Waste Management Facility - Florida, Page 23

    23

  • DEP Form 62-701.900(1) Application for a Permit to Construct, Operate, Modify or Close a Solid Waste Management Facility - Florida, Page 24

    24

  • DEP Form 62-701.900(1) Application for a Permit to Construct, Operate, Modify or Close a Solid Waste Management Facility - Florida, Page 25

    25

  • DEP Form 62-701.900(1) Application for a Permit to Construct, Operate, Modify or Close a Solid Waste Management Facility - Florida, Page 26

    26

  • DEP Form 62-701.900(1) Application for a Permit to Construct, Operate, Modify or Close a Solid Waste Management Facility - Florida, Page 27

    27

  • DEP Form 62-701.900(1) Application for a Permit to Construct, Operate, Modify or Close a Solid Waste Management Facility - Florida, Page 28

    28

  • DEP Form 62-701.900(1) Application for a Permit to Construct, Operate, Modify or Close a Solid Waste Management Facility - Florida, Page 29

    29

  • DEP Form 62-701.900(1) Application for a Permit to Construct, Operate, Modify or Close a Solid Waste Management Facility - Florida, Page 30

    30

  • DEP Form 62-701.900(1) Application for a Permit to Construct, Operate, Modify or Close a Solid Waste Management Facility - Florida, Page 31

    31

  • DEP Form 62-701.900(1) Application for a Permit to Construct, Operate, Modify or Close a Solid Waste Management Facility - Florida, Page 32

    32

  • DEP Form 62-701.900(1) Application for a Permit to Construct, Operate, Modify or Close a Solid Waste Management Facility - Florida, Page 33

    33

  • DEP Form 62-701.900(1) Application for a Permit to Construct, Operate, Modify or Close a Solid Waste Management Facility - Florida, Page 34

    34

  • DEP Form 62-701.900(1) Application for a Permit to Construct, Operate, Modify or Close a Solid Waste Management Facility - Florida, Page 35

    35

  • DEP Form 62-701.900(1) Application for a Permit to Construct, Operate, Modify or Close a Solid Waste Management Facility - Florida, Page 36

    36

  • DEP Form 62-701.900(1) Application for a Permit to Construct, Operate, Modify or Close a Solid Waste Management Facility - Florida, Page 1
  • DEP Form 62-701.900(1) Application for a Permit to Construct, Operate, Modify or Close a Solid Waste Management Facility - Florida, Page 2
  • DEP Form 62-701.900(1) Application for a Permit to Construct, Operate, Modify or Close a Solid Waste Management Facility - Florida, Page 3
  • DEP Form 62-701.900(1) Application for a Permit to Construct, Operate, Modify or Close a Solid Waste Management Facility - Florida, Page 4
  • DEP Form 62-701.900(1) Application for a Permit to Construct, Operate, Modify or Close a Solid Waste Management Facility - Florida, Page 5
  • DEP Form 62-701.900(1) Application for a Permit to Construct, Operate, Modify or Close a Solid Waste Management Facility - Florida, Page 6
  • DEP Form 62-701.900(1) Application for a Permit to Construct, Operate, Modify or Close a Solid Waste Management Facility - Florida, Page 7
  • DEP Form 62-701.900(1) Application for a Permit to Construct, Operate, Modify or Close a Solid Waste Management Facility - Florida, Page 8
  • DEP Form 62-701.900(1) Application for a Permit to Construct, Operate, Modify or Close a Solid Waste Management Facility - Florida, Page 9
  • DEP Form 62-701.900(1) Application for a Permit to Construct, Operate, Modify or Close a Solid Waste Management Facility - Florida, Page 10
  • DEP Form 62-701.900(1) Application for a Permit to Construct, Operate, Modify or Close a Solid Waste Management Facility - Florida, Page 11
  • DEP Form 62-701.900(1) Application for a Permit to Construct, Operate, Modify or Close a Solid Waste Management Facility - Florida, Page 12
  • DEP Form 62-701.900(1) Application for a Permit to Construct, Operate, Modify or Close a Solid Waste Management Facility - Florida, Page 13
  • DEP Form 62-701.900(1) Application for a Permit to Construct, Operate, Modify or Close a Solid Waste Management Facility - Florida, Page 14
  • DEP Form 62-701.900(1) Application for a Permit to Construct, Operate, Modify or Close a Solid Waste Management Facility - Florida, Page 15
  • DEP Form 62-701.900(1) Application for a Permit to Construct, Operate, Modify or Close a Solid Waste Management Facility - Florida, Page 16
  • DEP Form 62-701.900(1) Application for a Permit to Construct, Operate, Modify or Close a Solid Waste Management Facility - Florida, Page 17
  • DEP Form 62-701.900(1) Application for a Permit to Construct, Operate, Modify or Close a Solid Waste Management Facility - Florida, Page 18
  • DEP Form 62-701.900(1) Application for a Permit to Construct, Operate, Modify or Close a Solid Waste Management Facility - Florida, Page 19
  • DEP Form 62-701.900(1) Application for a Permit to Construct, Operate, Modify or Close a Solid Waste Management Facility - Florida, Page 20
  • DEP Form 62-701.900(1) Application for a Permit to Construct, Operate, Modify or Close a Solid Waste Management Facility - Florida, Page 21
  • DEP Form 62-701.900(1) Application for a Permit to Construct, Operate, Modify or Close a Solid Waste Management Facility - Florida, Page 22
  • DEP Form 62-701.900(1) Application for a Permit to Construct, Operate, Modify or Close a Solid Waste Management Facility - Florida, Page 23
  • DEP Form 62-701.900(1) Application for a Permit to Construct, Operate, Modify or Close a Solid Waste Management Facility - Florida, Page 24
  • DEP Form 62-701.900(1) Application for a Permit to Construct, Operate, Modify or Close a Solid Waste Management Facility - Florida, Page 25
  • DEP Form 62-701.900(1) Application for a Permit to Construct, Operate, Modify or Close a Solid Waste Management Facility - Florida, Page 26
  • DEP Form 62-701.900(1) Application for a Permit to Construct, Operate, Modify or Close a Solid Waste Management Facility - Florida, Page 27
  • DEP Form 62-701.900(1) Application for a Permit to Construct, Operate, Modify or Close a Solid Waste Management Facility - Florida, Page 28
  • DEP Form 62-701.900(1) Application for a Permit to Construct, Operate, Modify or Close a Solid Waste Management Facility - Florida, Page 29
  • DEP Form 62-701.900(1) Application for a Permit to Construct, Operate, Modify or Close a Solid Waste Management Facility - Florida, Page 30
  • DEP Form 62-701.900(1) Application for a Permit to Construct, Operate, Modify or Close a Solid Waste Management Facility - Florida, Page 31
  • DEP Form 62-701.900(1) Application for a Permit to Construct, Operate, Modify or Close a Solid Waste Management Facility - Florida, Page 32
  • DEP Form 62-701.900(1) Application for a Permit to Construct, Operate, Modify or Close a Solid Waste Management Facility - Florida, Page 33
  • DEP Form 62-701.900(1) Application for a Permit to Construct, Operate, Modify or Close a Solid Waste Management Facility - Florida, Page 34
  • DEP Form 62-701.900(1) Application for a Permit to Construct, Operate, Modify or Close a Solid Waste Management Facility - Florida, Page 35
  • DEP Form 62-701.900(1) Application for a Permit to Construct, Operate, Modify or Close a Solid Waste Management Facility - Florida, Page 36
Prev 1 2 3 4 5 ... 36 Next
ADVERTISEMENT

Related Documents