DEP Form 62-761.900(3) Part H Storage Tank Standby Trust Fund Agreement - Florida

Notification Icon This version of the form is not currently in use and is provided for reference only. Download this version of DEP Form 62-761.900(3) Part H for the current year.

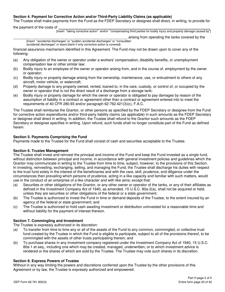
DEP Form 62-761.900(3) Part H Storage Tank Standby Trust Fund Agreement - Florida

What Is DEP Form 62-761.900(3) Part H?

This is a legal form that was released by the Florida Department of Environmental Protection - a government authority operating within Florida.The document is a supplement to DEP Form 62-761.900(3), Storage Tank Certificate of Insurance. As of today, no separate filing guidelines for the form are provided by the issuing department.

FAQ

Q: What is DEP Form 62-761.900(3)?
A: DEP Form 62-761.900(3) is a form used in Florida for the Storage Tank Standby Trust Fund Agreement.

Q: What is the purpose of DEP Form 62-761.900(3)?
A: The purpose of DEP Form 62-761.900(3) is to establish a trust fund agreement for storage tanks in Florida.

Q: What does Part H of DEP Form 62-761.900(3) cover?
A: Part H of DEP Form 62-761.900(3) covers the Storage Tank Standby Trust Fund Agreement.

Q: What is the content of the Storage Tank Standby Trust Fund Agreement?
A: The Storage Tank Standby Trust Fund Agreement contains provisions related to the establishment and management of the trust fund, including the identification of parties involved and the terms and conditions of the agreement.

Q: Who is responsible for completing DEP Form 62-761.900(3)?
A: The party responsible for establishing the Storage Tank Standby Trust Fund Agreement is responsible for completing DEP Form 62-761.900(3).

ADVERTISEMENT

Form Details:

  • Released on October 1, 2019;
  • The latest edition provided by the Florida Department of Environmental Protection;
  • Easy to use and ready to print;
  • Quick to customize;
  • Compatible with most PDF-viewing applications;
  • Fill out the form in our online filing application.

Download a fillable version of DEP Form 62-761.900(3) Part H by clicking the link below or browse more documents and templates provided by the Florida Department of Environmental Protection.

Download DEP Form 62-761.900(3) Part H Storage Tank Standby Trust Fund Agreement - Florida

4.7 of 5 (13 votes)
  • DEP Form 62-761.900(3) Part H Storage Tank Standby Trust Fund Agreement - Florida

    1

  • DEP Form 62-761.900(3) Part H Storage Tank Standby Trust Fund Agreement - Florida, Page 2

    2

  • DEP Form 62-761.900(3) Part H Storage Tank Standby Trust Fund Agreement - Florida, Page 3

    3

  • DEP Form 62-761.900(3) Part H Storage Tank Standby Trust Fund Agreement - Florida, Page 4

    4

  • DEP Form 62-761.900(3) Part H Storage Tank Standby Trust Fund Agreement - Florida, Page 5

    5

  • DEP Form 62-761.900(3) Part H Storage Tank Standby Trust Fund Agreement - Florida, Page 1
  • DEP Form 62-761.900(3) Part H Storage Tank Standby Trust Fund Agreement - Florida, Page 2
  • DEP Form 62-761.900(3) Part H Storage Tank Standby Trust Fund Agreement - Florida, Page 3
  • DEP Form 62-761.900(3) Part H Storage Tank Standby Trust Fund Agreement - Florida, Page 4
  • DEP Form 62-761.900(3) Part H Storage Tank Standby Trust Fund Agreement - Florida, Page 5
Prev 1 2 3 4 5 Next
ADVERTISEMENT

Related Documents