Form STD.459 Voluntary Spousal Support Deduction / Authorization - California

Form STD.459 Voluntary Spousal Support Deduction / Authorization - California

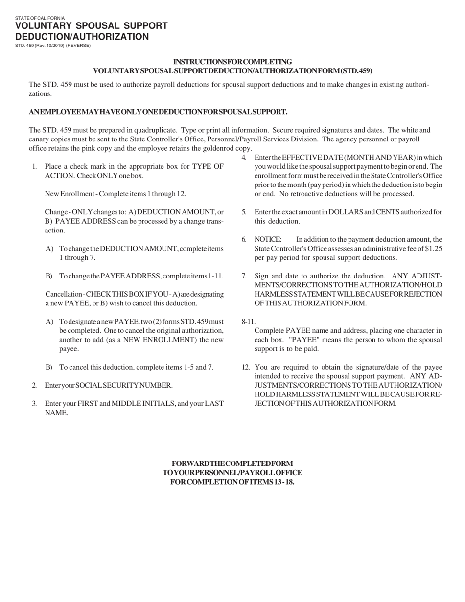
What Is Form STD.459?

This is a legal form that was released by the California State Controller’s Office - a government authority operating within California. As of today, no separate filing guidelines for the form are provided by the issuing department.

FAQ

Q: What is Form STD.459?
A: Form STD.459 is the Voluntary Spousal Support Deduction/Authorization form in California.

Q: What is the purpose of Form STD.459?
A: The purpose of Form STD.459 is to authorize the voluntary deduction of spousal support from an employee's wages.

Q: Who needs to fill out Form STD.459?
A: Form STD.459 needs to be filled out by an employee who wants to authorize the voluntary deduction of spousal support from their wages.

Q: Do I need to submit Form STD.459 to my employer?
A: Yes, you need to submit Form STD.459 to your employer in order to authorize the voluntary deduction of spousal support.

Q: Can I change or revoke the authorization on Form STD.459?
A: Yes, you can change or revoke the authorization on Form STD.459 by submitting a new form to your employer.

ADVERTISEMENT

Form Details:

  • Released on October 1, 2019;
  • The latest edition provided by the California State Controller’s Office;
  • Easy to use and ready to print;
  • Quick to customize;
  • Compatible with most PDF-viewing applications;
  • Fill out the form in our online filing application.

Download a fillable version of Form STD.459 by clicking the link below or browse more documents and templates provided by the California State Controller’s Office.

Download Form STD.459 Voluntary Spousal Support Deduction / Authorization - California

4.4 of 5 (23 votes)
  • Form STD.459 Voluntary Spousal Support Deduction/Authorization - California

    1

  • Form STD.459 Voluntary Spousal Support Deduction/Authorization - California, Page 2

    2

  • Form STD.459 Voluntary Spousal Support Deduction / Authorization - California, Page 1
  • Form STD.459 Voluntary Spousal Support Deduction / Authorization - California, Page 2
Prev 1 2 Next
ADVERTISEMENT