Application for Certification Under Substantial Equivalence Provisions - Iowa

Application for Certification Under Substantial Equivalence Provisions - Iowa

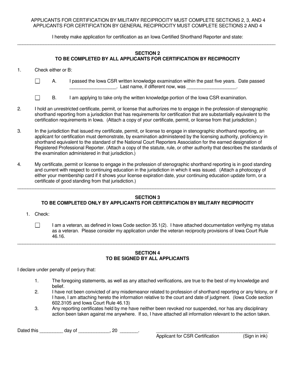
Application for Certification Under Substantial Equivalence Provisions is a legal document that was released by the Iowa Judicial Branch - a government authority operating within Iowa.

FAQ

Q: What is the purpose of the Application for Certification Under Substantial Equivalence Provisions in Iowa?
A: The purpose is to apply for certification of substantial equivalence in Iowa.

Q: What does substantial equivalence mean in this context?
A: It means that a product is similar to a previously approved product in terms of health risks and characteristics.

Q: Who needs to submit this application?
A: Manufacturers or importers of tobacco products who want to market their products in Iowa.

Q: Is this application specific to any particular type of tobacco product?
A: Yes, this application is specific to each unique tobacco product.

Q: What information is required in the application?
A: The application requires detailed information about the tobacco product, its ingredients, manufacturing process, labeling, and health risks.

Q: How long does it take to process the application?
A: The processing time is typically 90 days.

Q: Is there a fee for submitting the application?
A: Yes, there is a fee that needs to be paid with the application.

Q: Are there any penalties for providing false or misleading information in the application?
A: Yes, providing false or misleading information may result in penalties or legal action.

Q: What happens after the application is approved?
A: Once the application is approved, the product can be marketed in Iowa.

ADVERTISEMENT

Form Details:

  • The latest edition currently provided by the Iowa Judicial Branch;
  • Ready to use and print;
  • Easy to customize;
  • Compatible with most PDF-viewing applications;
  • Fill out the form in our online filing application.

Download a printable version of the form by clicking the link below or browse more documents and templates provided by the Iowa Judicial Branch.

Download Application for Certification Under Substantial Equivalence Provisions - Iowa

4.3 of 5 (20 votes)
  • Application for Certification Under Substantial Equivalence Provisions - Iowa

    1

  • Application for Certification Under Substantial Equivalence Provisions - Iowa, Page 2

    2

  • Application for Certification Under Substantial Equivalence Provisions - Iowa, Page 1
  • Application for Certification Under Substantial Equivalence Provisions - Iowa, Page 2
Prev 1 2 Next
ADVERTISEMENT

Related Documents