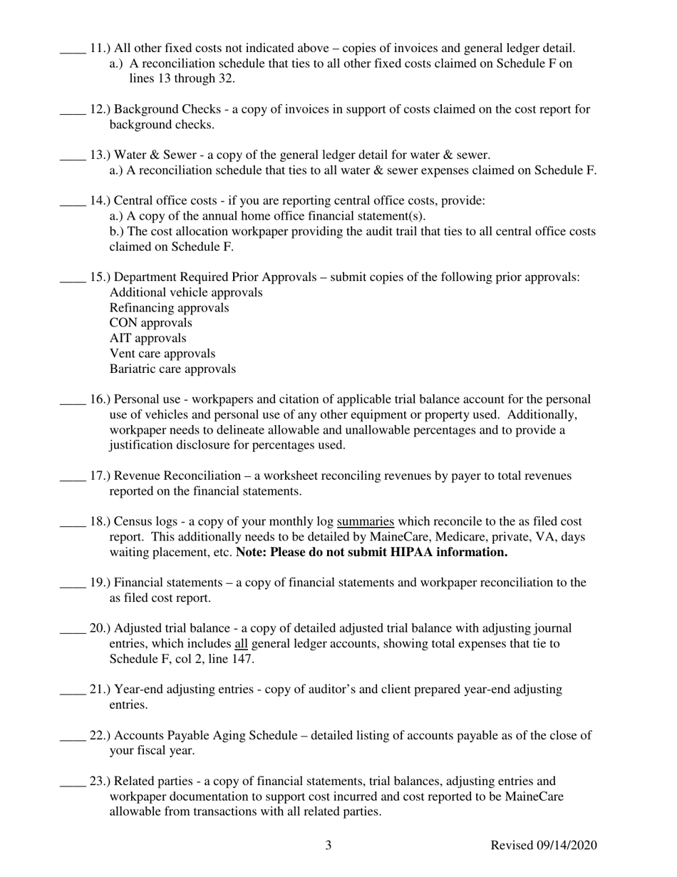
Mainecare Cost Report Checklist - Nursing Homes - Maine

Notification Icon This version of the form is not currently in use and is provided for reference only. Download this version of the document for the current year.

Mainecare Cost Report Checklist - Nursing Homes - Maine

Mainecare Cost Report Checklist - Nursing Homes is a legal document that was released by the Maine Department of Health and Human Services - a government authority operating within Maine.

FAQ

Q: What is Mainecare?
A: Mainecare is Maine's Medicaid program that provides healthcare coverage for eligible individuals and families.

Q: What is a nursing home?
A: A nursing home is a residential facility that provides healthcare services and assistance with daily activities for individuals who require round-the-clock care.

Q: Who is eligible for Mainecare coverage in nursing homes?
A: Eligibility for Mainecare coverage in nursing homes is determined based on factors such as income, assets, and medical needs.

Q: What is a Mainecare Cost Report?
A: A Mainecare Cost Report is a financial document that nursing homes are required to submit to Mainecare to report their costs in providing care to Mainecare residents.

Q: What is the purpose of the Mainecare Cost Report Checklist?
A: The Mainecare Cost Report Checklist is a tool provided by Mainecare to help nursing homes ensure that they have included all necessary information in their cost reports.

Q: What information is typically included in a Mainecare Cost Report for nursing homes?
A: A Mainecare Cost Report for nursing homes typically includes information on expenses, revenue, resident days, staffing levels, and other financial data.

Q: Why is it important for nursing homes to submit accurate Mainecare Cost Reports?
A: Submitting accurate Mainecare Cost Reports is important for nursing homes to receive appropriate reimbursement for the care they provide to Mainecare residents.

Q: Are nursing homes required to submit the Mainecare Cost Report Checklist?
A: Nursing homes are not required to submit the Mainecare Cost Report Checklist itself, but it is recommended as a helpful tool for ensuring the completeness of their cost reports.

Q: What happens if nursing homes do not submit accurate Mainecare Cost Reports?
A: If nursing homes do not submit accurate Mainecare Cost Reports, it may result in inaccurate reimbursement and potential financial penalties.

ADVERTISEMENT

Form Details:

  • Released on September 14, 2020;
  • The latest edition currently provided by the Maine Department of Health and Human Services;
  • Ready to use and print;
  • Easy to customize;
  • Compatible with most PDF-viewing applications;
  • Fill out the form in our online filing application.

Download a printable version of the form by clicking the link below or browse more documents and templates provided by the Maine Department of Health and Human Services.

Download Mainecare Cost Report Checklist - Nursing Homes - Maine

4.4 of 5 (19 votes)
  • Mainecare Cost Report Checklist - Nursing Homes - Maine

    1

  • Mainecare Cost Report Checklist - Nursing Homes - Maine, Page 2

    2

  • Mainecare Cost Report Checklist - Nursing Homes - Maine, Page 3

    3

  • Mainecare Cost Report Checklist - Nursing Homes - Maine, Page 4

    4

  • Mainecare Cost Report Checklist - Nursing Homes - Maine, Page 1
  • Mainecare Cost Report Checklist - Nursing Homes - Maine, Page 2
  • Mainecare Cost Report Checklist - Nursing Homes - Maine, Page 3
  • Mainecare Cost Report Checklist - Nursing Homes - Maine, Page 4
Prev 1 2 3 4 Next
ADVERTISEMENT