More Jobs for Marylanders Project Enrollment Application - Existing Maryland Business - Maryland

More Jobs for Marylanders Project Enrollment Application - Existing Maryland Business - Maryland

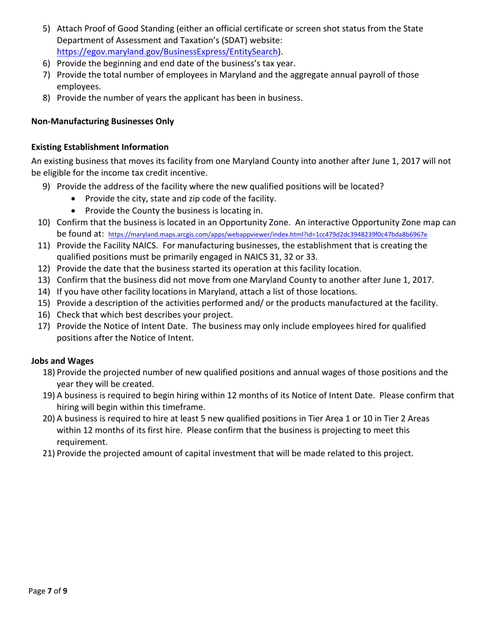
More Jobs for Marylanders Project Enrollment Application - Existing Maryland Business is a legal document that was released by the Maryland Department of Commerce - a government authority operating within Maryland.

FAQ

Q: What is the More Jobs for Marylanders Project Enrollment Application?
A: The More Jobs for Marylanders Project Enrollment Application is an application for existing Maryland businesses to enroll in the program.

Q: What is the More Jobs for Marylanders Project?
A: The More Jobs for Marylanders Project is an initiative aimed at increasing job opportunities in Maryland by incentivizing businesses to create and retain jobs in the state.

Q: Who can apply for the More Jobs for Marylanders Project Enrollment Application?
A: Existing Maryland businesses can apply for the More Jobs for Marylanders Project Enrollment Application.

Q: What is the purpose of the More Jobs for Marylanders Project Enrollment Application?
A: The purpose of the application is to register existing Maryland businesses in the More Jobs for Marylanders Project and provide information about their current and future job opportunities.

ADVERTISEMENT

Form Details:

  • The latest edition currently provided by the Maryland Department of Commerce;
  • Ready to use and print;
  • Easy to customize;
  • Compatible with most PDF-viewing applications;
  • Fill out the form in our online filing application.

Download a fillable version of the form by clicking the link below or browse more documents and templates provided by the Maryland Department of Commerce.

Download More Jobs for Marylanders Project Enrollment Application - Existing Maryland Business - Maryland

4.8 of 5 (8 votes)
  • More Jobs for Marylanders Project Enrollment Application - Existing Maryland Business - Maryland

    1

  • More Jobs for Marylanders Project Enrollment Application - Existing Maryland Business - Maryland, Page 2

    2

  • More Jobs for Marylanders Project Enrollment Application - Existing Maryland Business - Maryland, Page 3

    3

  • More Jobs for Marylanders Project Enrollment Application - Existing Maryland Business - Maryland, Page 4

    4

  • More Jobs for Marylanders Project Enrollment Application - Existing Maryland Business - Maryland, Page 5

    5

  • More Jobs for Marylanders Project Enrollment Application - Existing Maryland Business - Maryland, Page 6

    6

  • More Jobs for Marylanders Project Enrollment Application - Existing Maryland Business - Maryland, Page 7

    7

  • More Jobs for Marylanders Project Enrollment Application - Existing Maryland Business - Maryland, Page 8

    8

  • More Jobs for Marylanders Project Enrollment Application - Existing Maryland Business - Maryland, Page 9

    9

  • More Jobs for Marylanders Project Enrollment Application - Existing Maryland Business - Maryland, Page 1
  • More Jobs for Marylanders Project Enrollment Application - Existing Maryland Business - Maryland, Page 2
  • More Jobs for Marylanders Project Enrollment Application - Existing Maryland Business - Maryland, Page 3
  • More Jobs for Marylanders Project Enrollment Application - Existing Maryland Business - Maryland, Page 4
  • More Jobs for Marylanders Project Enrollment Application - Existing Maryland Business - Maryland, Page 5
  • More Jobs for Marylanders Project Enrollment Application - Existing Maryland Business - Maryland, Page 6
  • More Jobs for Marylanders Project Enrollment Application - Existing Maryland Business - Maryland, Page 7
  • More Jobs for Marylanders Project Enrollment Application - Existing Maryland Business - Maryland, Page 8
  • More Jobs for Marylanders Project Enrollment Application - Existing Maryland Business - Maryland, Page 9
Prev 1 2 3 4 5 ... 9 Next
ADVERTISEMENT