Form MDH2990 Document for Hysterectomy / Acknowledgement Form - Maryland Medical Assistance Program - Maryland

Form MDH2990 Document for Hysterectomy / Acknowledgement Form - Maryland Medical Assistance Program - Maryland

What Is Form MDH2990?

This is a legal form that was released by the Maryland Department of Health - a government authority operating within Maryland. As of today, no separate filing guidelines for the form are provided by the issuing department.

FAQ

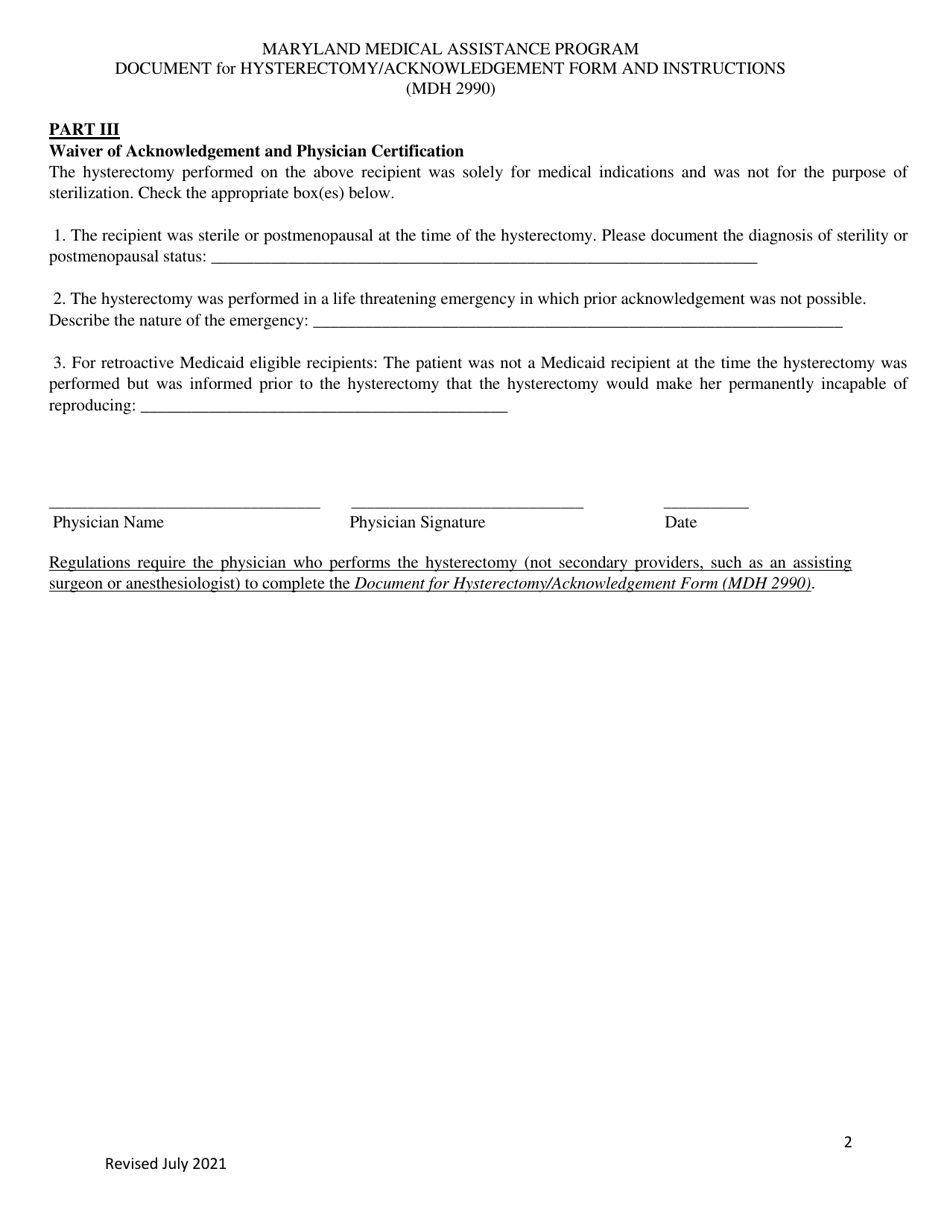
Q: What is the MDH2990 Document?
A: The MDH2990 Document is a Hysterectomy/Acknowledgement Form used in the Maryland Medical Assistance Program.

Q: What is the purpose of the MDH2990 Document?
A: The purpose of the MDH2990 Document is to acknowledge the risks and benefits of a hysterectomy procedure and to ensure that the patient gives informed consent.

Q: Who uses the MDH2990 Document?
A: The MDH2990 Document is used by healthcare providers participating in the Maryland Medical Assistance Program when performing a hysterectomy procedure.

Q: What information does the MDH2990 Document include?
A: The MDH2990 Document includes information about the patient's medical condition, the risks and benefits of the hysterectomy procedure, alternative treatments, and the patient's agreement to the procedure.

Q: Is the MDH2990 Document mandatory?
A: Yes, the MDH2990 Document is mandatory for healthcare providers participating in the Maryland Medical Assistance Program when performing a hysterectomy procedure.

ADVERTISEMENT

Form Details:

  • Released on July 1, 2021;
  • The latest edition provided by the Maryland Department of Health;
  • Easy to use and ready to print;
  • Quick to customize;
  • Compatible with most PDF-viewing applications;
  • Fill out the form in our online filing application.

Download a printable version of Form MDH2990 by clicking the link below or browse more documents and templates provided by the Maryland Department of Health.

Download Form MDH2990 Document for Hysterectomy / Acknowledgement Form - Maryland Medical Assistance Program - Maryland

4.4 of 5 (27 votes)
  • Form MDH2990 Document for Hysterectomy/Acknowledgement Form - Maryland Medical Assistance Program - Maryland

    1

  • Form MDH2990 Document for Hysterectomy/Acknowledgement Form - Maryland Medical Assistance Program - Maryland, Page 2

    2

  • Form MDH2990 Document for Hysterectomy/Acknowledgement Form - Maryland Medical Assistance Program - Maryland, Page 3

    3

  • Form MDH2990 Document for Hysterectomy / Acknowledgement Form - Maryland Medical Assistance Program - Maryland, Page 1
  • Form MDH2990 Document for Hysterectomy / Acknowledgement Form - Maryland Medical Assistance Program - Maryland, Page 2
  • Form MDH2990 Document for Hysterectomy / Acknowledgement Form - Maryland Medical Assistance Program - Maryland, Page 3
Prev 1 2 3 Next
ADVERTISEMENT

Related Documents