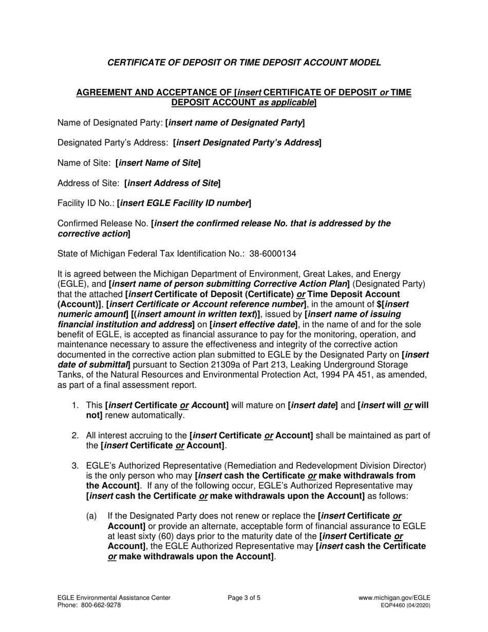
Form EQP4460 Certificate of Deposit or Time Deposit Account Part 213 - Michigan

Notification Icon This version of the form is not currently in use and is provided for reference only. Download this version of Form EQP4460 for the current year.

Form EQP4460 Certificate of Deposit or Time Deposit Account Part 213 - Michigan

What Is Form EQP4460?

This is a legal form that was released by the Michigan Department of Environment, Great Lakes, and Energy - a government authority operating within Michigan. As of today, no separate filing guidelines for the form are provided by the issuing department.

FAQ

Q: What is EQP4460 Certificate of Deposit or Time Deposit Account?
A: EQP4460 Certificate of Deposit or Time Deposit Account is a type of financial instrument offered by financial institutions.

Q: What is Part 213 in Michigan?
A: Part 213 in Michigan refers to a specific regulation or rule related to EQP4460 Certificate of Deposit or Time Deposit Account.

Q: What is the purpose of EQP4460 Certificate of Deposit or Time Deposit Account?
A: The purpose of EQP4460 Certificate of Deposit or Time Deposit Account is to allow individuals or businesses to earn interest on their savings over a fixed period of time.

Q: How can I open an EQP4460 Certificate of Deposit or Time Deposit Account?
A: To open an EQP4460 Certificate of Deposit or Time Deposit Account, you will need to visit a financial institution that offers this type of account and follow their specific application process.

Q: What are the benefits of EQP4460 Certificate of Deposit or Time Deposit Account?
A: Some benefits of EQP4460 Certificate of Deposit or Time Deposit Account include fixed interest rates, guaranteed returns, and the ability to choose different terms or durations for your investment.

Q: Can I withdraw money from my EQP4460 Certificate of Deposit or Time Deposit Account before it matures?
A: Yes, you can usually withdraw money from your EQP4460 Certificate of Deposit or Time Deposit Account before it matures, but you may be subject to early withdrawal penalties or fees.

Q: Is EQP4460 Certificate of Deposit or Time Deposit Account insured?
A: EQP4460 Certificate of Deposit or Time Deposit Account may be insured by the Federal Deposit Insurance Corporation (FDIC) up to certain limits. You should check with your financial institution to confirm their specific insurance coverage.

Q: How is interest calculated for an EQP4460 Certificate of Deposit or Time Deposit Account?
A: Interest for an EQP4460 Certificate of Deposit or Time Deposit Account is typically calculated based on the interest rate and the amount of money deposited. The interest can be compounded or paid out at regular intervals.

Q: Can I add more money to my EQP4460 Certificate of Deposit or Time Deposit Account?
A: In most cases, you cannot add more money to your EQP4460 Certificate of Deposit or Time Deposit Account once it has been opened. However, you can open additional accounts if you wish to invest more money.

Q: What happens to my EQP4460 Certificate of Deposit or Time Deposit Account when it matures?
A: When your EQP4460 Certificate of Deposit or Time Deposit Account matures, you will have the option to withdraw the funds, renew the account for another term, or make changes to your investment.

ADVERTISEMENT

Form Details:

  • Released on April 21, 2020;
  • The latest edition provided by the Michigan Department of Environment, Great Lakes, and Energy;
  • Easy to use and ready to print;
  • Quick to customize;
  • Compatible with most PDF-viewing applications;
  • Fill out the form in our online filing application.

Download a printable version of Form EQP4460 by clicking the link below or browse more documents and templates provided by the Michigan Department of Environment, Great Lakes, and Energy.

Download Form EQP4460 Certificate of Deposit or Time Deposit Account Part 213 - Michigan

4.4 of 5 (10 votes)
  • Form EQP4460 Certificate of Deposit or Time Deposit Account Part 213 - Michigan

    1

  • Form EQP4460 Certificate of Deposit or Time Deposit Account Part 213 - Michigan, Page 2

    2

  • Form EQP4460 Certificate of Deposit or Time Deposit Account Part 213 - Michigan, Page 3

    3

  • Form EQP4460 Certificate of Deposit or Time Deposit Account Part 213 - Michigan, Page 4

    4

  • Form EQP4460 Certificate of Deposit or Time Deposit Account Part 213 - Michigan, Page 5

    5

  • Form EQP4460 Certificate of Deposit or Time Deposit Account Part 213 - Michigan, Page 1
  • Form EQP4460 Certificate of Deposit or Time Deposit Account Part 213 - Michigan, Page 2
  • Form EQP4460 Certificate of Deposit or Time Deposit Account Part 213 - Michigan, Page 3
  • Form EQP4460 Certificate of Deposit or Time Deposit Account Part 213 - Michigan, Page 4
  • Form EQP4460 Certificate of Deposit or Time Deposit Account Part 213 - Michigan, Page 5
Prev 1 2 3 4 5 Next
ADVERTISEMENT