Form EQP3583 Initial Notification Report - Neshap: Surface Coating of Plastic Parts and Products - Michigan

Form EQP3583 Initial Notification Report - Neshap: Surface Coating of Plastic Parts and Products - Michigan

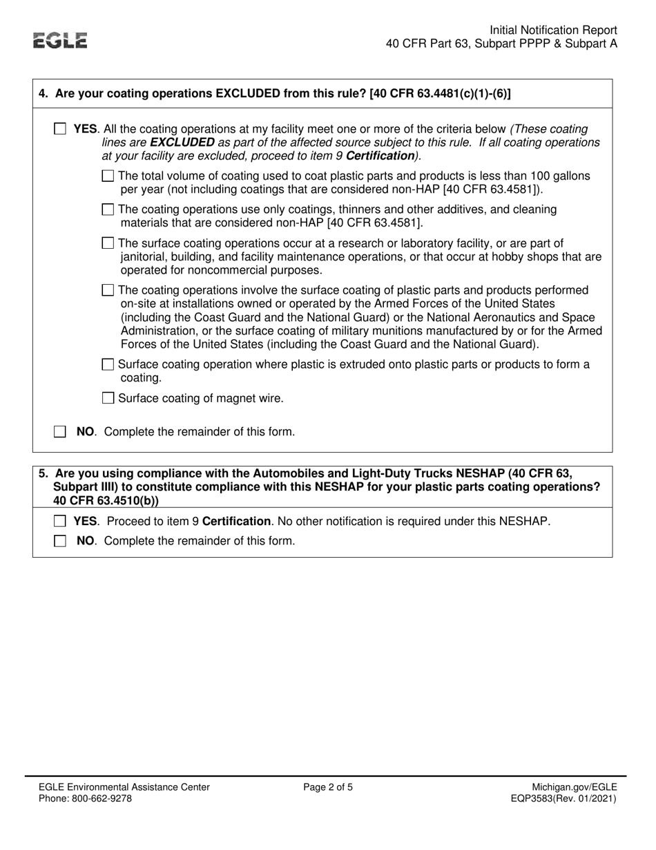
What Is Form EQP3583?

This is a legal form that was released by the Michigan Department of Environment, Great Lakes, and Energy - a government authority operating within Michigan. As of today, no separate filing guidelines for the form are provided by the issuing department.

FAQ

Q: What is Form EQP3583?
A: Form EQP3583 is an Initial Notification Report specifically for the Surface Coating of Plastic Parts and Products in Michigan.

Q: What is NESHAP?
A: NESHAP stands for National Emission Standards for Hazardous Air Pollutants. It is a set of regulations established by the Environmental Protection Agency (EPA) to limit air pollutant emissions from specific sources.

Q: Who is required to submit Form EQP3583?
A: Any facility in Michigan that engages in surface coating of plastic parts and products and is subject to NESHAP regulations must submit Form EQP3583 as an initial notification report to the appropriate regulatory agency.

Q: What is the purpose of Form EQP3583?
A: The purpose of Form EQP3583 is to provide information to the regulatory agency about facilities engaged in the surface coating of plastic parts and products, as required by NESHAP regulations.

Q: What information is required on Form EQP3583?
A: Form EQP3583 requires information such as facility identification, process description, coating types, annual usage of coatings, emission calculations, compliance certifications, and contact information.

Q: When is Form EQP3583 due?
A: The submission of Form EQP3583 is typically due within 120 days after the facility becomes subject to NESHAP regulations, or within 120 days after the effective date of the regulations.

Q: Is there a fee for submitting Form EQP3583?
A: There is usually no fee required for submitting Form EQP3583, as it is primarily an informational report.

Q: What are the consequences of not submitting Form EQP3583?
A: Failure to submit Form EQP3583 or providing false or misleading information can result in penalties and enforcement actions by the regulatory agency, including fines and potential legal consequences.

ADVERTISEMENT

Form Details:

  • Released on January 1, 2021;
  • The latest edition provided by the Michigan Department of Environment, Great Lakes, and Energy;
  • Easy to use and ready to print;
  • Quick to customize;
  • Compatible with most PDF-viewing applications;
  • Fill out the form in our online filing application.

Download a fillable version of Form EQP3583 by clicking the link below or browse more documents and templates provided by the Michigan Department of Environment, Great Lakes, and Energy.

Download Form EQP3583 Initial Notification Report - Neshap: Surface Coating of Plastic Parts and Products - Michigan

4.8 of 5 (20 votes)
  • Form EQP3583 Initial Notification Report - Neshap: Surface Coating of Plastic Parts and Products - Michigan

    1

  • Form EQP3583 Initial Notification Report - Neshap: Surface Coating of Plastic Parts and Products - Michigan, Page 2

    2

  • Form EQP3583 Initial Notification Report - Neshap: Surface Coating of Plastic Parts and Products - Michigan, Page 3

    3

  • Form EQP3583 Initial Notification Report - Neshap: Surface Coating of Plastic Parts and Products - Michigan, Page 4

    4

  • Form EQP3583 Initial Notification Report - Neshap: Surface Coating of Plastic Parts and Products - Michigan, Page 5

    5

  • Form EQP3583 Initial Notification Report - Neshap: Surface Coating of Plastic Parts and Products - Michigan, Page 1
  • Form EQP3583 Initial Notification Report - Neshap: Surface Coating of Plastic Parts and Products - Michigan, Page 2
  • Form EQP3583 Initial Notification Report - Neshap: Surface Coating of Plastic Parts and Products - Michigan, Page 3
  • Form EQP3583 Initial Notification Report - Neshap: Surface Coating of Plastic Parts and Products - Michigan, Page 4
  • Form EQP3583 Initial Notification Report - Neshap: Surface Coating of Plastic Parts and Products - Michigan, Page 5
Prev 1 2 3 4 5 Next
ADVERTISEMENT

Related Documents