Form MO580-1871 Periodic Progress Report - Missouri

Form MO580-1871 Periodic Progress Report - Missouri

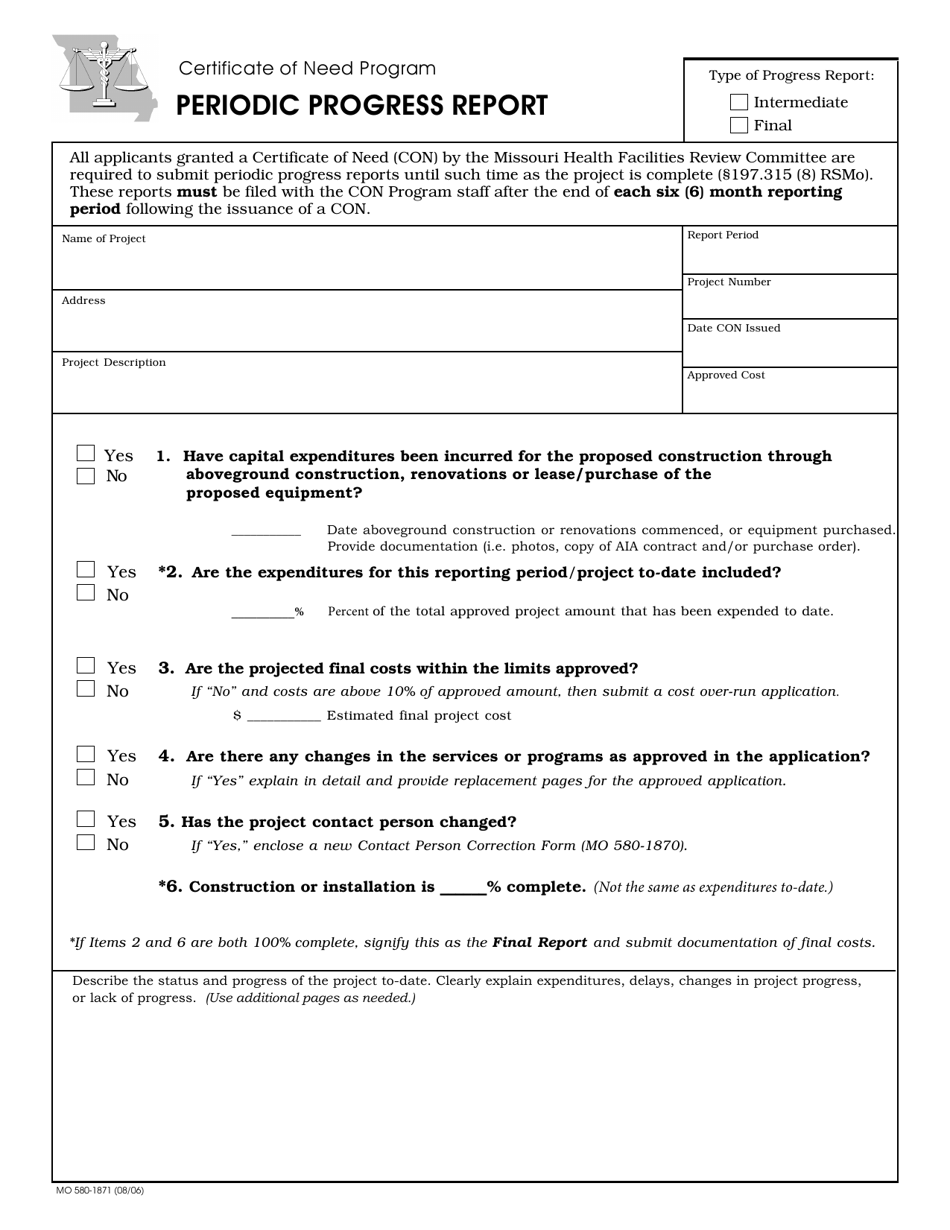
What Is Form MO580-1871?

This is a legal form that was released by the Missouri Department of Health and Senior Services - a government authority operating within Missouri. As of today, no separate filing guidelines for the form are provided by the issuing department.

FAQ

Q: What is Form MO580-1871?
A: Form MO580-1871 is the Periodic Progress Report used in Missouri.

Q: Who needs to file Form MO580-1871?
A: Anyone who has an active appeal case in Missouri needs to file Form MO580-1871.

Q: What is the purpose of Form MO580-1871?
A: The purpose of Form MO580-1871 is to track the progress of appeal cases in Missouri.

Q: How often should Form MO580-1871 be filed?
A: Form MO580-1871 should be filed periodically, as determined by the Missouri court.

ADVERTISEMENT

Form Details:

  • Released on July 1, 2009;
  • The latest edition provided by the Missouri Department of Health and Senior Services;
  • Easy to use and ready to print;
  • Quick to customize;
  • Compatible with most PDF-viewing applications;
  • Fill out the form in our online filing application.

Download a fillable version of Form MO580-1871 by clicking the link below or browse more documents and templates provided by the Missouri Department of Health and Senior Services.

Download Form MO580-1871 Periodic Progress Report - Missouri

4.8 of 5 (6 votes)
  • Form MO580-1871 Periodic Progress Report - Missouri

    1

  • Form MO580-1871 Periodic Progress Report - Missouri, Page 2

    2

  • Form MO580-1871 Periodic Progress Report - Missouri, Page 3

    3

  • Form MO580-1871 Periodic Progress Report - Missouri, Page 1
  • Form MO580-1871 Periodic Progress Report - Missouri, Page 2
  • Form MO580-1871 Periodic Progress Report - Missouri, Page 3
Prev 1 2 3 Next
ADVERTISEMENT