Real Estate Broker's Letter of Direction to Financial Institution - Manitoba, Canada

Real Estate Broker's Letter of Direction to Financial Institution - Manitoba, Canada

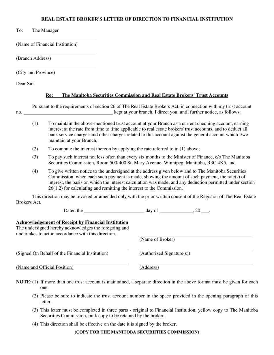
The Real Estate Broker's Letter of Direction to a Financial Institution in Manitoba, Canada is a document used to authorize the release of funds and provide instructions to a financial institution from a real estate broker. It is typically used in real estate transactions to facilitate the closing and transfer of funds between parties involved in the transaction.

In Manitoba, Canada, the real estate broker typically files the Letter of Direction to the financial institution.

FAQ

Q: What is a Real Estate Broker's Letter of Direction?
A: A Real Estate Broker's Letter of Direction is a document used in Manitoba, Canada, to authorize a financial institution to release funds to a real estate broker on behalf of a home buyer or seller.

Q: Why is a Real Estate Broker's Letter of Direction needed?
A: A Real Estate Broker's Letter of Direction is needed to ensure that the real estate broker receives the funds necessary to complete a real estate transaction.

Q: Who uses a Real Estate Broker's Letter of Direction?
A: Both home buyers and sellers can use a Real Estate Broker's Letter of Direction to authorize the release of funds to their real estate broker.

Q: What information is included in a Real Estate Broker's Letter of Direction?
A: A Real Estate Broker's Letter of Direction typically includes the names of the home buyer and/or seller, the address of the property, and the amount of funds to be released to the real estate broker.

Q: Is a Real Estate Broker's Letter of Direction legally binding?
A: Yes, a Real Estate Broker's Letter of Direction is a legally binding document in Manitoba, Canada.

ADVERTISEMENT

Download Real Estate Broker's Letter of Direction to Financial Institution - Manitoba, Canada

4.5 of 5 (17 votes)
  • Real Estate Broker's Letter of Direction to Financial Institution - Manitoba, Canada

    1

  • Real Estate Broker's Letter of Direction to Financial Institution - Manitoba, Canada, Page 2

    2

  • Real Estate Broker's Letter of Direction to Financial Institution - Manitoba, Canada, Page 3

    3

  • Real Estate Brokers Letter of Direction to Financial Institution - Manitoba, Canada, Page 1
  • Real Estate Brokers Letter of Direction to Financial Institution - Manitoba, Canada, Page 2
  • Real Estate Brokers Letter of Direction to Financial Institution - Manitoba, Canada, Page 3
Prev 1 2 3 Next
ADVERTISEMENT