Monitoring Forms - Cdbg-Dr Program (Hurricane Irene) - New Jersey

Monitoring Forms - Cdbg-Dr Program (Hurricane Irene) - New Jersey

Monitoring Forms - Cdbg-Dr Program (Hurricane Irene) is a legal document that was released by the New Jersey Department of Community Affairs - a government authority operating within New Jersey.

FAQ

Q: What is the CDBG-DR program?
A: The CDBG-DR program is the Community Development Block Grant - Disaster Recovery program.

Q: What is the purpose of the CDBG-DR program?
A: The purpose of the CDBG-DR program is to assist in the recovery from disasters, such as Hurricane Irene.

Q: What is Hurricane Irene?
A: Hurricane Irene was a large and destructive tropical cyclone that affected the northeastern United States, including New Jersey, in August 2011.

Q: What is the CDBG-DR program in New Jersey specifically for?
A: The CDBG-DR program in New Jersey is specifically for the recovery efforts related to Hurricane Irene.

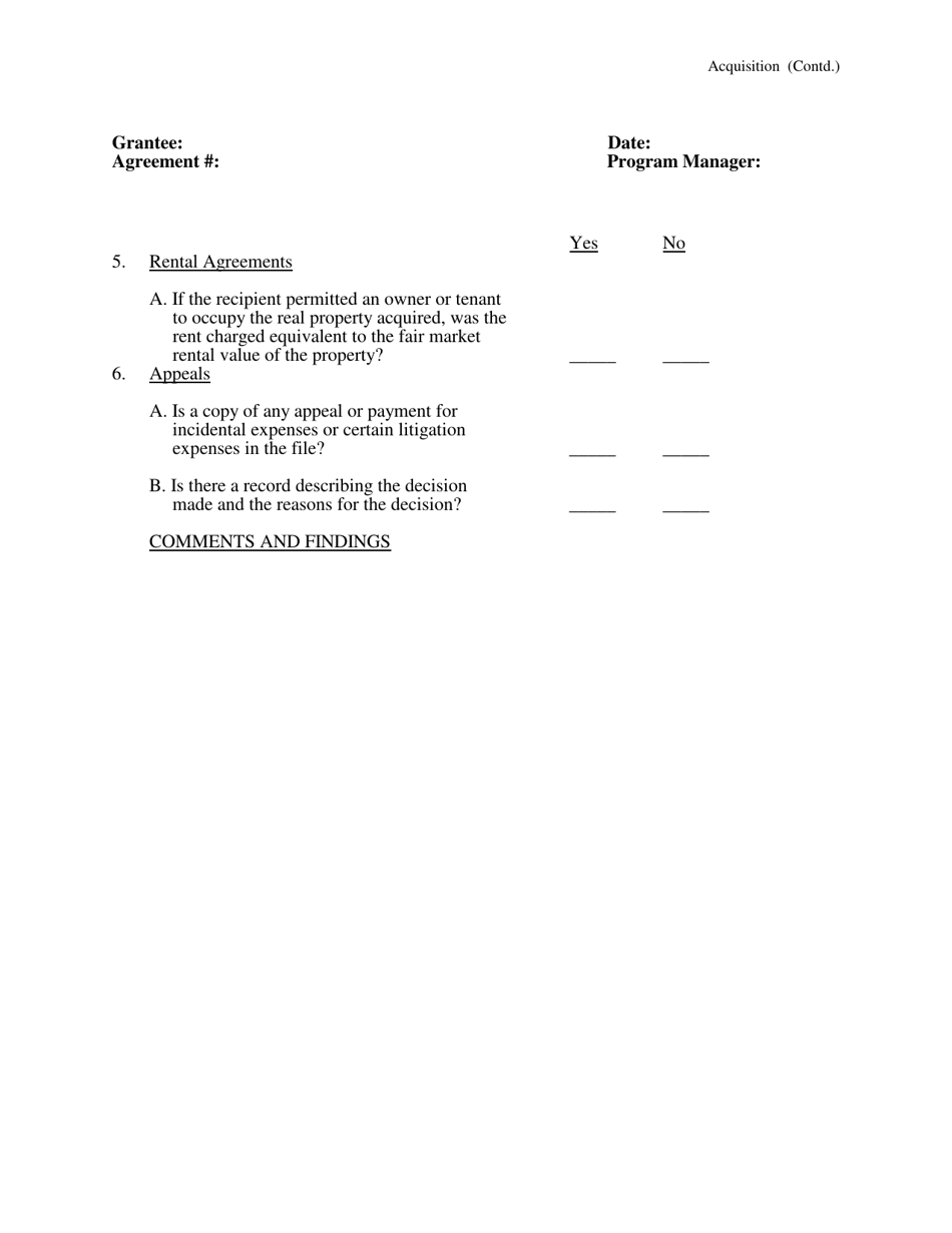
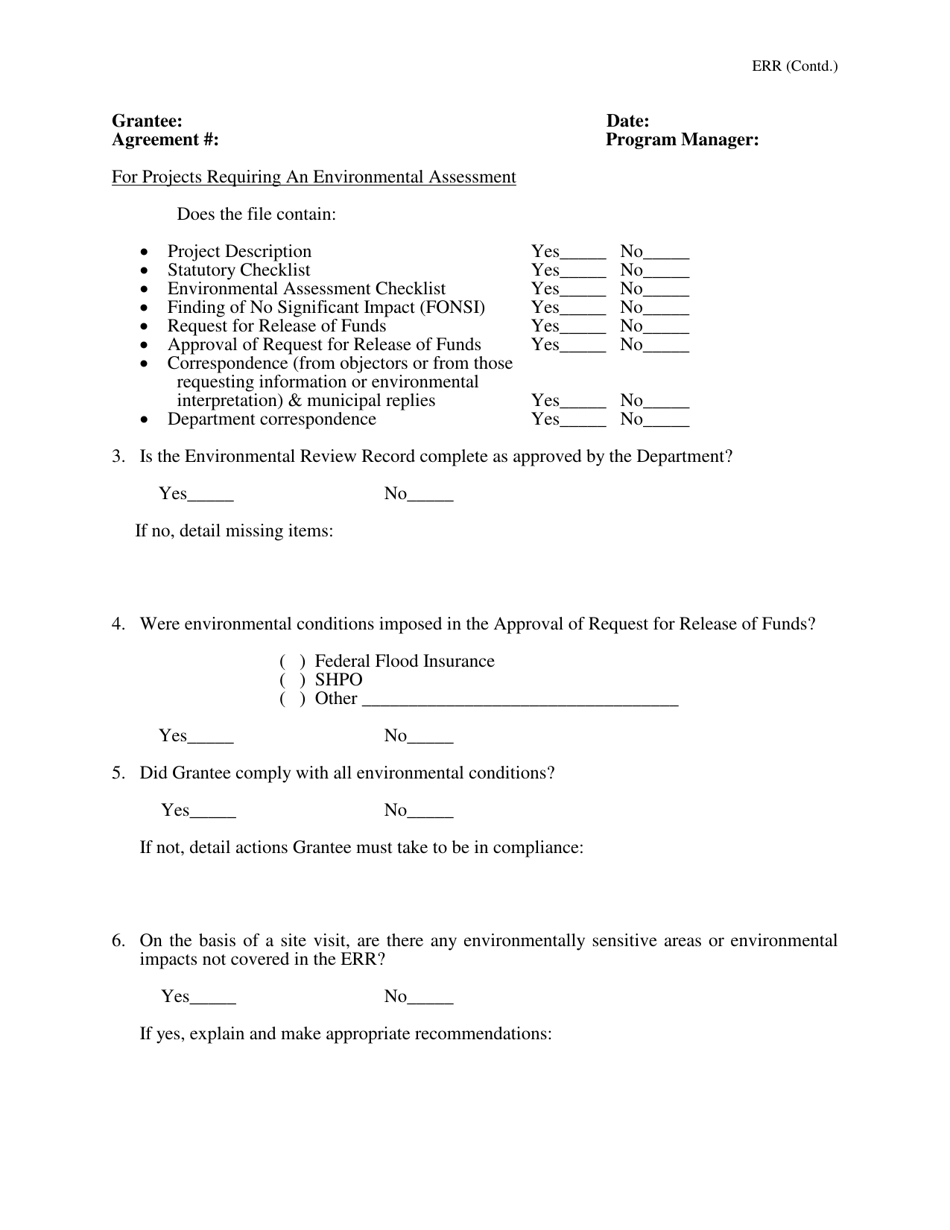
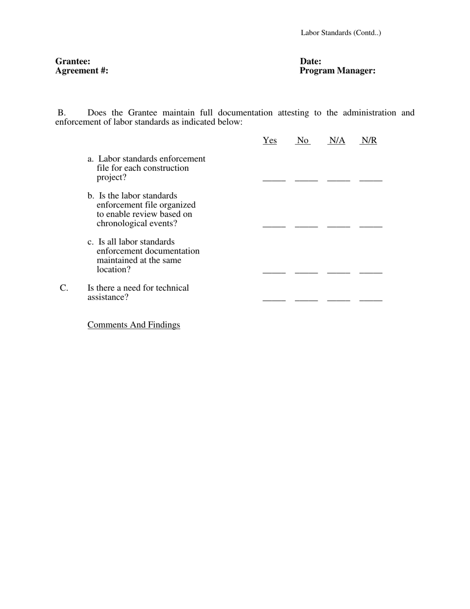
Q: What forms are monitored in the CDBG-DR program?
A: The monitoring forms in the CDBG-DR program include various documents that track the progress and compliance of recovery projects.

Q: Who is responsible for monitoring the forms in the CDBG-DR program?
A: The responsibility for monitoring the forms in the CDBG-DR program lies with the relevant government agencies and organizations involved in the recovery efforts.

Q: How can I access the monitoring forms for the CDBG-DR program?
A: You can access the monitoring forms for the CDBG-DR program through the official channels designated by the government agencies and organizations overseeing the program.

ADVERTISEMENT

Form Details:

  • The latest edition currently provided by the New Jersey Department of Community Affairs;
  • Ready to use and print;
  • Easy to customize;
  • Compatible with most PDF-viewing applications;
  • Fill out the form in our online filing application.

Download a printable version of the form by clicking the link below or browse more documents and templates provided by the New Jersey Department of Community Affairs.

Download Monitoring Forms - Cdbg-Dr Program (Hurricane Irene) - New Jersey

4.4 of 5 (11 votes)
  • Monitoring Forms - Cdbg-Dr Program (Hurricane Irene) - New Jersey

    1

  • Monitoring Forms - Cdbg-Dr Program (Hurricane Irene) - New Jersey, Page 2

    2

  • Monitoring Forms - Cdbg-Dr Program (Hurricane Irene) - New Jersey, Page 3

    3

  • Monitoring Forms - Cdbg-Dr Program (Hurricane Irene) - New Jersey, Page 4

    4

  • Monitoring Forms - Cdbg-Dr Program (Hurricane Irene) - New Jersey, Page 5

    5

  • Monitoring Forms - Cdbg-Dr Program (Hurricane Irene) - New Jersey, Page 6

    6

  • Monitoring Forms - Cdbg-Dr Program (Hurricane Irene) - New Jersey, Page 7

    7

  • Monitoring Forms - Cdbg-Dr Program (Hurricane Irene) - New Jersey, Page 8

    8

  • Monitoring Forms - Cdbg-Dr Program (Hurricane Irene) - New Jersey, Page 9

    9

  • Monitoring Forms - Cdbg-Dr Program (Hurricane Irene) - New Jersey, Page 10

    10

  • Monitoring Forms - Cdbg-Dr Program (Hurricane Irene) - New Jersey, Page 11

    11

  • Monitoring Forms - Cdbg-Dr Program (Hurricane Irene) - New Jersey, Page 12

    12

  • Monitoring Forms - Cdbg-Dr Program (Hurricane Irene) - New Jersey, Page 13

    13

  • Monitoring Forms - Cdbg-Dr Program (Hurricane Irene) - New Jersey, Page 14

    14

  • Monitoring Forms - Cdbg-Dr Program (Hurricane Irene) - New Jersey, Page 15

    15

  • Monitoring Forms - Cdbg-Dr Program (Hurricane Irene) - New Jersey, Page 16

    16

  • Monitoring Forms - Cdbg-Dr Program (Hurricane Irene) - New Jersey, Page 17

    17

  • Monitoring Forms - Cdbg-Dr Program (Hurricane Irene) - New Jersey, Page 18

    18

  • Monitoring Forms - Cdbg-Dr Program (Hurricane Irene) - New Jersey, Page 19

    19

  • Monitoring Forms - Cdbg-Dr Program (Hurricane Irene) - New Jersey, Page 20

    20

  • Monitoring Forms - Cdbg-Dr Program (Hurricane Irene) - New Jersey, Page 21

    21

  • Monitoring Forms - Cdbg-Dr Program (Hurricane Irene) - New Jersey, Page 22

    22

  • Monitoring Forms - Cdbg-Dr Program (Hurricane Irene) - New Jersey, Page 23

    23

  • Monitoring Forms - Cdbg-Dr Program (Hurricane Irene) - New Jersey, Page 24

    24

  • Monitoring Forms - Cdbg-Dr Program (Hurricane Irene) - New Jersey, Page 1
  • Monitoring Forms - Cdbg-Dr Program (Hurricane Irene) - New Jersey, Page 2
  • Monitoring Forms - Cdbg-Dr Program (Hurricane Irene) - New Jersey, Page 3
  • Monitoring Forms - Cdbg-Dr Program (Hurricane Irene) - New Jersey, Page 4
  • Monitoring Forms - Cdbg-Dr Program (Hurricane Irene) - New Jersey, Page 5
  • Monitoring Forms - Cdbg-Dr Program (Hurricane Irene) - New Jersey, Page 6
  • Monitoring Forms - Cdbg-Dr Program (Hurricane Irene) - New Jersey, Page 7
  • Monitoring Forms - Cdbg-Dr Program (Hurricane Irene) - New Jersey, Page 8
  • Monitoring Forms - Cdbg-Dr Program (Hurricane Irene) - New Jersey, Page 9
  • Monitoring Forms - Cdbg-Dr Program (Hurricane Irene) - New Jersey, Page 10
  • Monitoring Forms - Cdbg-Dr Program (Hurricane Irene) - New Jersey, Page 11
  • Monitoring Forms - Cdbg-Dr Program (Hurricane Irene) - New Jersey, Page 12
  • Monitoring Forms - Cdbg-Dr Program (Hurricane Irene) - New Jersey, Page 13
  • Monitoring Forms - Cdbg-Dr Program (Hurricane Irene) - New Jersey, Page 14
  • Monitoring Forms - Cdbg-Dr Program (Hurricane Irene) - New Jersey, Page 15
  • Monitoring Forms - Cdbg-Dr Program (Hurricane Irene) - New Jersey, Page 16
  • Monitoring Forms - Cdbg-Dr Program (Hurricane Irene) - New Jersey, Page 17
  • Monitoring Forms - Cdbg-Dr Program (Hurricane Irene) - New Jersey, Page 18
  • Monitoring Forms - Cdbg-Dr Program (Hurricane Irene) - New Jersey, Page 19
  • Monitoring Forms - Cdbg-Dr Program (Hurricane Irene) - New Jersey, Page 20
  • Monitoring Forms - Cdbg-Dr Program (Hurricane Irene) - New Jersey, Page 21
  • Monitoring Forms - Cdbg-Dr Program (Hurricane Irene) - New Jersey, Page 22
  • Monitoring Forms - Cdbg-Dr Program (Hurricane Irene) - New Jersey, Page 23
  • Monitoring Forms - Cdbg-Dr Program (Hurricane Irene) - New Jersey, Page 24
Prev 1 2 3 4 5 ... 24 Next
ADVERTISEMENT

Related Documents