Nonpoint Source Project Loan Application - Oregon

Nonpoint Source Project Loan Application - Oregon

Nonpoint Source Project Loan Application is a legal document that was released by the Oregon Department of Environmental Quality - a government authority operating within Oregon.

FAQ

Q: What is a Nonpoint Source Project Loan Application?
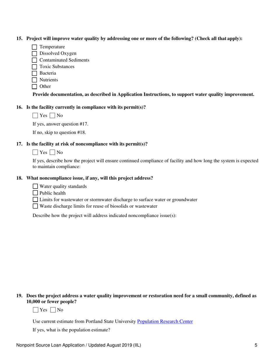
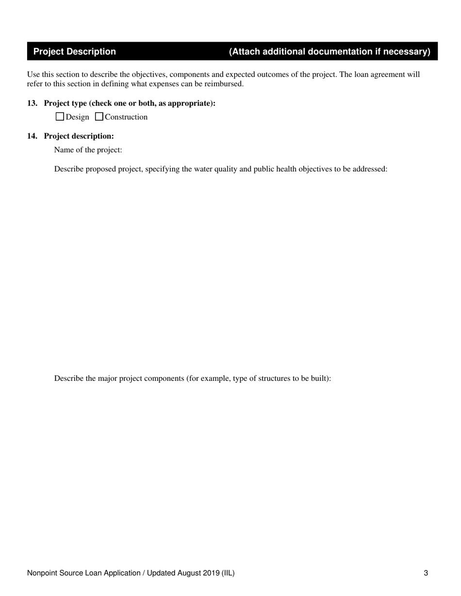
A: A Nonpoint Source Project Loan Application is a loan application for projects that aim to reduce pollution from nonpoint sources, such as runoff from agricultural lands or urban areas.

Q: Who can apply for a Nonpoint Source Project Loan?
A: Anyone in Oregon, including individuals, businesses, local governments, and non-profit organizations, can apply for a Nonpoint Source Project Loan.

Q: What types of projects are eligible for funding through the Nonpoint Source Project Loan?
A: Projects that aim to reduce or prevent pollution from nonpoint sources, such as erosion control, streambank restoration, and stormwater management, are eligible for funding through the Nonpoint Source Project Loan.

Q: How can I apply for a Nonpoint Source Project Loan?
A: To apply for a Nonpoint Source Project Loan, you will need to submit a loan application to the appropriate state agency or organization responsible for administering the loan program. The application will require information about your project, including its objectives, scope, and budget.

Q: What are the benefits of obtaining a Nonpoint Source Project Loan?
A: Obtaining a Nonpoint Source Project Loan can provide funding to implement projects that will help protect and improve water quality in Oregon. It can also help leverage additional funding from other sources and promote collaboration among stakeholders.

Q: Are there any requirements or obligations associated with a Nonpoint Source Project Loan?
A: Yes, if you are approved for a Nonpoint Source Project Loan, you will be required to meet certain terms and conditions, such as completing the project as proposed and providing periodic updates on its progress. Failure to meet these requirements may result in penalties or repayment of the loan.

Q: Are there any deadlines for submitting a Nonpoint Source Project Loan Application?
A: The deadlines for submitting a Nonpoint Source Project Loan Application may vary depending on the specific loan program or funding source. It is important to check the application guidelines or contact the administering agency for the most up-to-date information.

Q: Can I receive funding from multiple sources for my Nonpoint Source Project?
A: Yes, it is possible to receive funding from multiple sources for your Nonpoint Source Project. However, you will need to ensure that the funding sources allow for stacking or combining funds, and you may be required to provide additional documentation or reporting to each funding source.

ADVERTISEMENT

Form Details:

  • Released on August 1, 2019;
  • The latest edition currently provided by the Oregon Department of Environmental Quality;
  • Ready to use and print;
  • Easy to customize;
  • Compatible with most PDF-viewing applications;
  • Fill out the form in our online filing application.

Download a fillable version of the form by clicking the link below or browse more documents and templates provided by the Oregon Department of Environmental Quality.

Download Nonpoint Source Project Loan Application - Oregon

4.6 of 5 (34 votes)
  • Nonpoint Source Project Loan Application - Oregon

    1

  • Nonpoint Source Project Loan Application - Oregon, Page 2

    2

  • Nonpoint Source Project Loan Application - Oregon, Page 3

    3

  • Nonpoint Source Project Loan Application - Oregon, Page 4

    4

  • Nonpoint Source Project Loan Application - Oregon, Page 5

    5

  • Nonpoint Source Project Loan Application - Oregon, Page 6

    6

  • Nonpoint Source Project Loan Application - Oregon, Page 7

    7

  • Nonpoint Source Project Loan Application - Oregon, Page 8

    8

  • Nonpoint Source Project Loan Application - Oregon, Page 9

    9

  • Nonpoint Source Project Loan Application - Oregon, Page 10

    10

  • Nonpoint Source Project Loan Application - Oregon, Page 11

    11

  • Nonpoint Source Project Loan Application - Oregon, Page 12

    12

  • Nonpoint Source Project Loan Application - Oregon, Page 13

    13

  • Nonpoint Source Project Loan Application - Oregon, Page 14

    14

  • Nonpoint Source Project Loan Application - Oregon, Page 15

    15

  • Nonpoint Source Project Loan Application - Oregon, Page 16

    16

  • Nonpoint Source Project Loan Application - Oregon, Page 17

    17

  • Nonpoint Source Project Loan Application - Oregon, Page 18

    18

  • Nonpoint Source Project Loan Application - Oregon, Page 1
  • Nonpoint Source Project Loan Application - Oregon, Page 2
  • Nonpoint Source Project Loan Application - Oregon, Page 3
  • Nonpoint Source Project Loan Application - Oregon, Page 4
  • Nonpoint Source Project Loan Application - Oregon, Page 5
  • Nonpoint Source Project Loan Application - Oregon, Page 6
  • Nonpoint Source Project Loan Application - Oregon, Page 7
  • Nonpoint Source Project Loan Application - Oregon, Page 8
  • Nonpoint Source Project Loan Application - Oregon, Page 9
  • Nonpoint Source Project Loan Application - Oregon, Page 10
  • Nonpoint Source Project Loan Application - Oregon, Page 11
  • Nonpoint Source Project Loan Application - Oregon, Page 12
  • Nonpoint Source Project Loan Application - Oregon, Page 13
  • Nonpoint Source Project Loan Application - Oregon, Page 14
  • Nonpoint Source Project Loan Application - Oregon, Page 15
  • Nonpoint Source Project Loan Application - Oregon, Page 16
  • Nonpoint Source Project Loan Application - Oregon, Page 17
  • Nonpoint Source Project Loan Application - Oregon, Page 18
Prev 1 2 3 4 5 ... 18 Next
ADVERTISEMENT