Form SFN54311 Political Subdivision Payee Form - North Dakota

Notification Icon This version of the form is not currently in use and is provided for reference only. Download this version of Form SFN54311 for the current year.

Form SFN54311 Political Subdivision Payee Form - North Dakota

What Is Form SFN54311?

This is a legal form that was released by the North Dakota Office of Management and Budget - a government authority operating within North Dakota. As of today, no separate filing guidelines for the form are provided by the issuing department.

FAQ

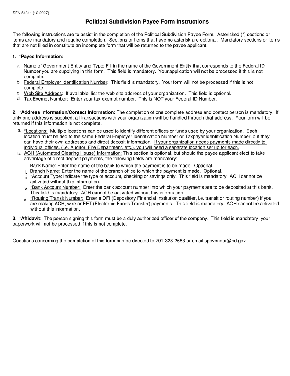
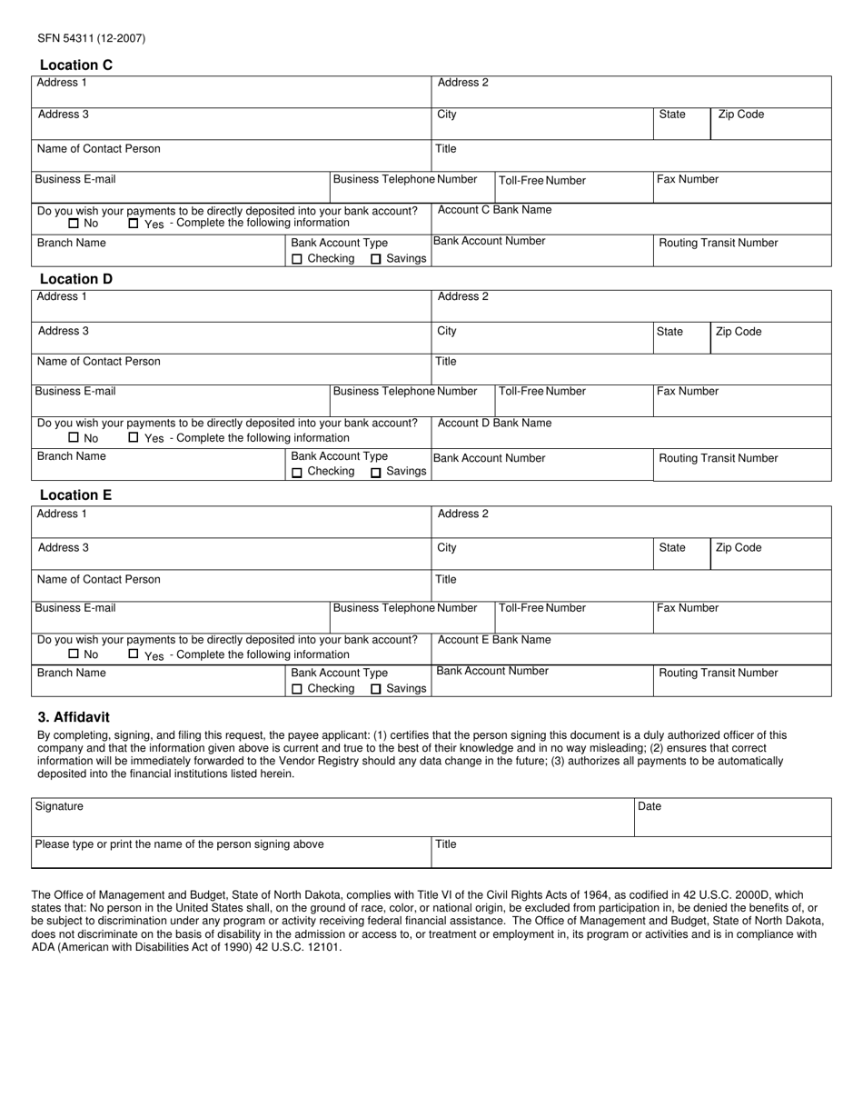
Q: What is the SFN54311 Political Subdivision Payee Form?
A: The SFN54311 Political Subdivision Payee Form is a form used in North Dakota for political subdivisions to provide information for payment processing.

Q: Who needs to fill out the SFN54311 Political Subdivision Payee Form?
A: Political subdivisions in North Dakota need to fill out the SFN54311 Political Subdivision Payee Form.

Q: Why is the SFN54311 Political Subdivision Payee Form used?
A: The form is used to gather information for payment processing purposes.

Q: Is the SFN54311 Political Subdivision Payee Form mandatory?
A: Yes, political subdivisions in North Dakota are required to fill out this form for payment processing.

ADVERTISEMENT

Form Details:

  • Released on December 1, 2007;
  • The latest edition provided by the North Dakota Office of Management and Budget;
  • Easy to use and ready to print;
  • Quick to customize;
  • Compatible with most PDF-viewing applications;
  • Fill out the form in our online filing application.

Download a fillable version of Form SFN54311 by clicking the link below or browse more documents and templates provided by the North Dakota Office of Management and Budget.

Download Form SFN54311 Political Subdivision Payee Form - North Dakota

4.6 of 5 (30 votes)
  • Form SFN54311 Political Subdivision Payee Form - North Dakota

    1

  • Form SFN54311 Political Subdivision Payee Form - North Dakota, Page 2

    2

  • Form SFN54311 Political Subdivision Payee Form - North Dakota, Page 3

    3

  • Form SFN54311 Political Subdivision Payee Form - North Dakota, Page 1
  • Form SFN54311 Political Subdivision Payee Form - North Dakota, Page 2
  • Form SFN54311 Political Subdivision Payee Form - North Dakota, Page 3
Prev 1 2 3 Next
ADVERTISEMENT