Application for and Writ of Execution Financial Institution - Connecticut

Application for and Writ of Execution Financial Institution - Connecticut

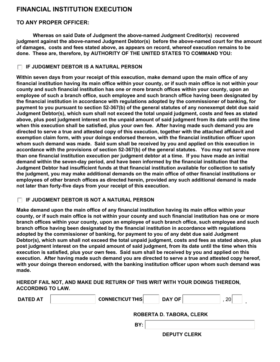
Application for and Writ of Execution Financial Institution is a legal document that was released by the United States District Court - District of Connecticut - a government authority operating within Connecticut.

FAQ

Q: What is an Application for Writ of Execution?
A: An Application for Writ of Execution is a legal document used to request the court's permission to enforce a judgment and collect money owed by a debtor.

Q: What is a Financial Institution Writ of Execution?
A: A Financial Institution Writ of Execution is a specific type of writ that allows a creditor to collect money from a debtor's financial institution accounts to satisfy a judgment.

Q: What is the process for obtaining an Application for Writ of Execution Financial Institution in Connecticut?
A: To obtain an Application for Writ of Execution Financial Institution in Connecticut, you will need to follow the specific procedures set forth by the Connecticut court system. It may involve filing the necessary forms and providing supporting documents.

Q: Who can file an Application for Writ of Execution Financial Institution?
A: Typically, only the judgment creditor or their attorney can file an Application for Writ of Execution Financial Institution.

Q: How does a Financial Institution Writ of Execution work?
A: Once granted by the court, a Financial Institution Writ of Execution allows the creditor to freeze the debtor's financial institution accounts and collect the funds owed to satisfy the judgment.

Q: What happens after a Financial Institution Writ of Execution is granted?
A: After a Financial Institution Writ of Execution is granted, the financial institution where the debtor's accounts are held will be instructed to freeze those accounts. The funds in the accounts will then be used to satisfy the judgment.

ADVERTISEMENT

Form Details:

  • Released on May 6, 2008;
  • The latest edition currently provided by the United States District Court - District of Connecticut;
  • Ready to use and print;
  • Easy to customize;
  • Compatible with most PDF-viewing applications;
  • Fill out the form in our online filing application.

Download a fillable version of the form by clicking the link below or browse more documents and templates provided by the United States District Court - District of Connecticut.

Download Application for and Writ of Execution Financial Institution - Connecticut

4.4 of 5 (11 votes)
  • Application for and Writ of Execution Financial Institution - Connecticut

    1

  • Application for and Writ of Execution Financial Institution - Connecticut, Page 2

    2

  • Application for and Writ of Execution Financial Institution - Connecticut, Page 3

    3

  • Application for and Writ of Execution Financial Institution - Connecticut, Page 4

    4

  • Application for and Writ of Execution Financial Institution - Connecticut, Page 1
  • Application for and Writ of Execution Financial Institution - Connecticut, Page 2
  • Application for and Writ of Execution Financial Institution - Connecticut, Page 3
  • Application for and Writ of Execution Financial Institution - Connecticut, Page 4
Prev 1 2 3 4 Next
ADVERTISEMENT