Form SUPJV801 Declaration in Support of Request to Inspect and / or Copy Juvenile Court Records Without a Court Order - County of Santa Cruz, California

Form SUPJV801 Declaration in Support of Request to Inspect and / or Copy Juvenile Court Records Without a Court Order - County of Santa Cruz, California

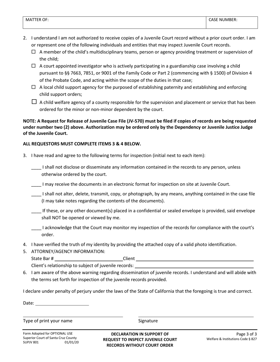
What Is Form SUPJV801?

This is a legal form that was released by the Superior Court - Santa Cruz County, California - a government authority operating within California. The form may be used strictly within County of Santa Cruz. As of today, no separate filing guidelines for the form are provided by the issuing department.

FAQ

Q: What is Form SUPJV801?
A: Form SUPJV801 is a declaration used to request to inspect and/or copy juvenile court records without a court order.

Q: What is the purpose of Form SUPJV801?
A: The purpose of Form SUPJV801 is to request access to juvenile court records without the need for a court order.

Q: Who can use Form SUPJV801?
A: Any individual who wants to inspect and/or copy juvenile court records in Santa Cruz County, California without a court order can use Form SUPJV801.

Q: Is there a fee associated with submitting Form SUPJV801?
A: No, there is no fee associated with submitting Form SUPJV801.

Q: Are there any requirements for completing Form SUPJV801?
A: Yes, you need to provide your personal information, specific details about the records you want to access, and explain the reason for your request on Form SUPJV801.

ADVERTISEMENT

Form Details:

  • Released on January 1, 2020;
  • The latest edition provided by the Superior Court - Santa Cruz County, California;
  • Easy to use and ready to print;
  • Quick to customize;
  • Compatible with most PDF-viewing applications;
  • Fill out the form in our online filing application.

Download a fillable version of Form SUPJV801 by clicking the link below or browse more documents and templates provided by the Superior Court - Santa Cruz County, California.

Download Form SUPJV801 Declaration in Support of Request to Inspect and / or Copy Juvenile Court Records Without a Court Order - County of Santa Cruz, California

4.4 of 5 (22 votes)
  • Form SUPJV801 Declaration in Support of Request to Inspect and/or Copy Juvenile Court Records Without a Court Order - County of Santa Cruz, California

    1

  • Form SUPJV801 Declaration in Support of Request to Inspect and/or Copy Juvenile Court Records Without a Court Order - County of Santa Cruz, California, Page 2

    2

  • Form SUPJV801 Declaration in Support of Request to Inspect and/or Copy Juvenile Court Records Without a Court Order - County of Santa Cruz, California, Page 3

    3

  • Form SUPJV801 Declaration in Support of Request to Inspect and / or Copy Juvenile Court Records Without a Court Order - County of Santa Cruz, California, Page 1
  • Form SUPJV801 Declaration in Support of Request to Inspect and / or Copy Juvenile Court Records Without a Court Order - County of Santa Cruz, California, Page 2
  • Form SUPJV801 Declaration in Support of Request to Inspect and / or Copy Juvenile Court Records Without a Court Order - County of Santa Cruz, California, Page 3
Prev 1 2 3 Next
ADVERTISEMENT

Related Documents