DOH Form 681-017 Histology / Frozen Section Pre-inspection Checklist - Washington State Medical Test Site Licensing Program - Washington

DOH Form 681-017 Histology / Frozen Section Pre-inspection Checklist - Washington State Medical Test Site Licensing Program - Washington

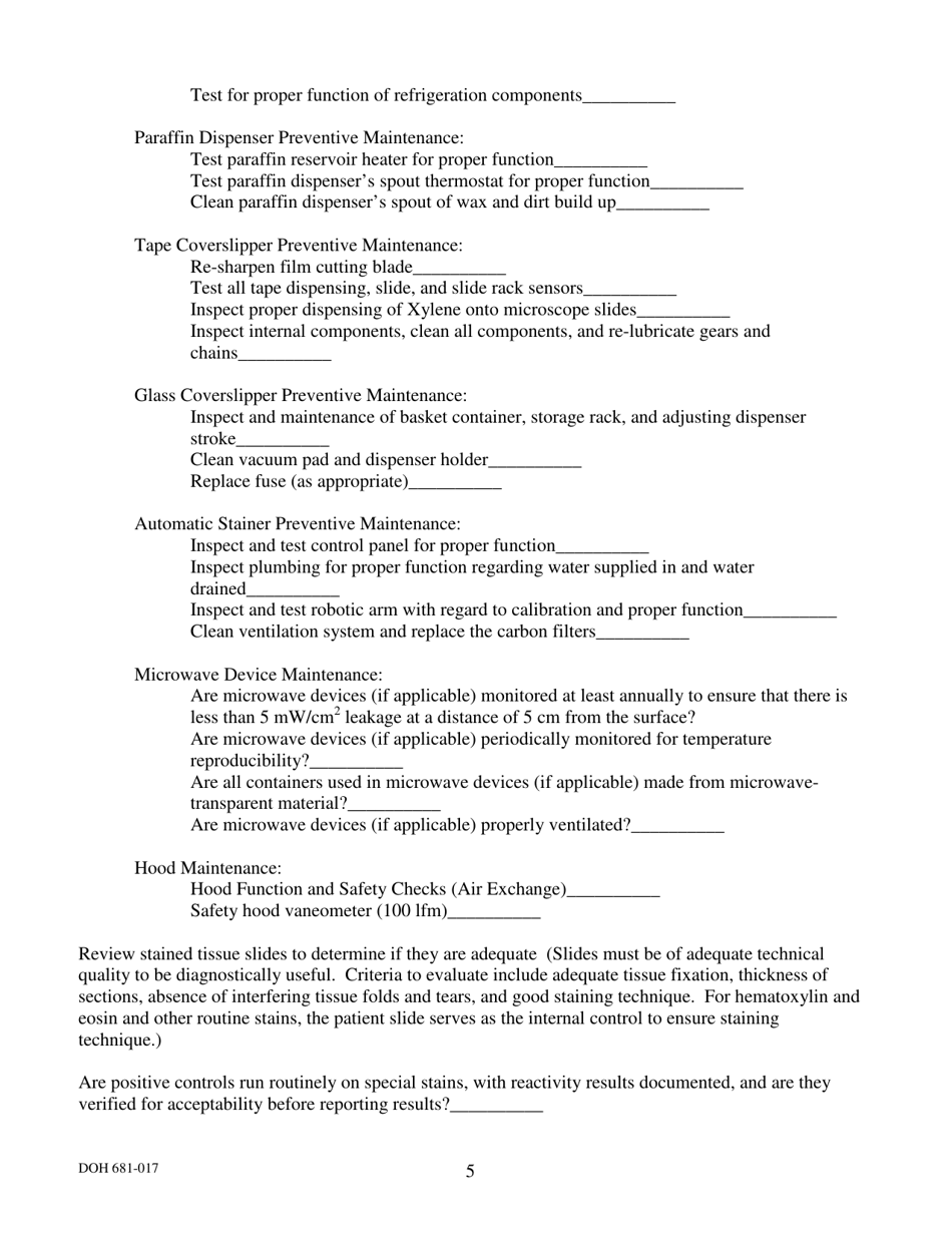
What Is DOH Form 681-017?

This is a legal form that was released by the Washington State Department of Health - a government authority operating within Washington. As of today, no separate filing guidelines for the form are provided by the issuing department.

FAQ

Q: What is DOH Form 681-017?
A: DOH Form 681-017 is the Histology/Frozen Section Pre-inspection Checklist for the Washington State Medical Test Site Licensing Program.

Q: What is the purpose of the checklist?
A: The checklist is used to ensure compliance with the regulations and requirements of the Washington State Medical Test Site Licensing Program for histology/frozen section laboratories.

Q: What is the Washington State Medical Test Site Licensing Program?
A: The Washington State Medical Test Site Licensing Program is a regulatory program that licenses and regulates medical testing sites in Washington state, including histology/frozen section laboratories.

Q: What is histology/frozen section?
A: Histology is the branch of biology that deals with the microscopic structure of tissues. Frozen section is a technique used to quickly examine tissues during surgery.

Q: Who needs to use this checklist?
A: Histology/frozen section laboratories that are seeking or renewing their license from the Washington State Medical Test Site Licensing Program need to use this checklist.

ADVERTISEMENT

Form Details:

  • The latest edition provided by the Washington State Department of Health;
  • Easy to use and ready to print;
  • Quick to customize;
  • Compatible with most PDF-viewing applications;
  • Fill out the form in our online filing application.

Download a printable version of DOH Form 681-017 by clicking the link below or browse more documents and templates provided by the Washington State Department of Health.

Download DOH Form 681-017 Histology / Frozen Section Pre-inspection Checklist - Washington State Medical Test Site Licensing Program - Washington

4.4 of 5 (17 votes)
  • DOH Form 681-017 Histology/Frozen Section Pre-inspection Checklist - Washington State Medical Test Site Licensing Program - Washington

    1

  • DOH Form 681-017 Histology/Frozen Section Pre-inspection Checklist - Washington State Medical Test Site Licensing Program - Washington, Page 2

    2

  • DOH Form 681-017 Histology/Frozen Section Pre-inspection Checklist - Washington State Medical Test Site Licensing Program - Washington, Page 3

    3

  • DOH Form 681-017 Histology/Frozen Section Pre-inspection Checklist - Washington State Medical Test Site Licensing Program - Washington, Page 4

    4

  • DOH Form 681-017 Histology/Frozen Section Pre-inspection Checklist - Washington State Medical Test Site Licensing Program - Washington, Page 5

    5

  • DOH Form 681-017 Histology/Frozen Section Pre-inspection Checklist - Washington State Medical Test Site Licensing Program - Washington, Page 6

    6

  • DOH Form 681-017 Histology / Frozen Section Pre-inspection Checklist - Washington State Medical Test Site Licensing Program - Washington, Page 1
  • DOH Form 681-017 Histology / Frozen Section Pre-inspection Checklist - Washington State Medical Test Site Licensing Program - Washington, Page 2
  • DOH Form 681-017 Histology / Frozen Section Pre-inspection Checklist - Washington State Medical Test Site Licensing Program - Washington, Page 3
  • DOH Form 681-017 Histology / Frozen Section Pre-inspection Checklist - Washington State Medical Test Site Licensing Program - Washington, Page 4
  • DOH Form 681-017 Histology / Frozen Section Pre-inspection Checklist - Washington State Medical Test Site Licensing Program - Washington, Page 5
  • DOH Form 681-017 Histology / Frozen Section Pre-inspection Checklist - Washington State Medical Test Site Licensing Program - Washington, Page 6
Prev 1 2 3 4 5 6 Next
ADVERTISEMENT