Form DSCB:5401114 / 1115 Renewal / Assignment of Trademark or Service Mark - Pennsylvania

Form DSCB:5401114 / 1115 Renewal / Assignment of Trademark or Service Mark - Pennsylvania

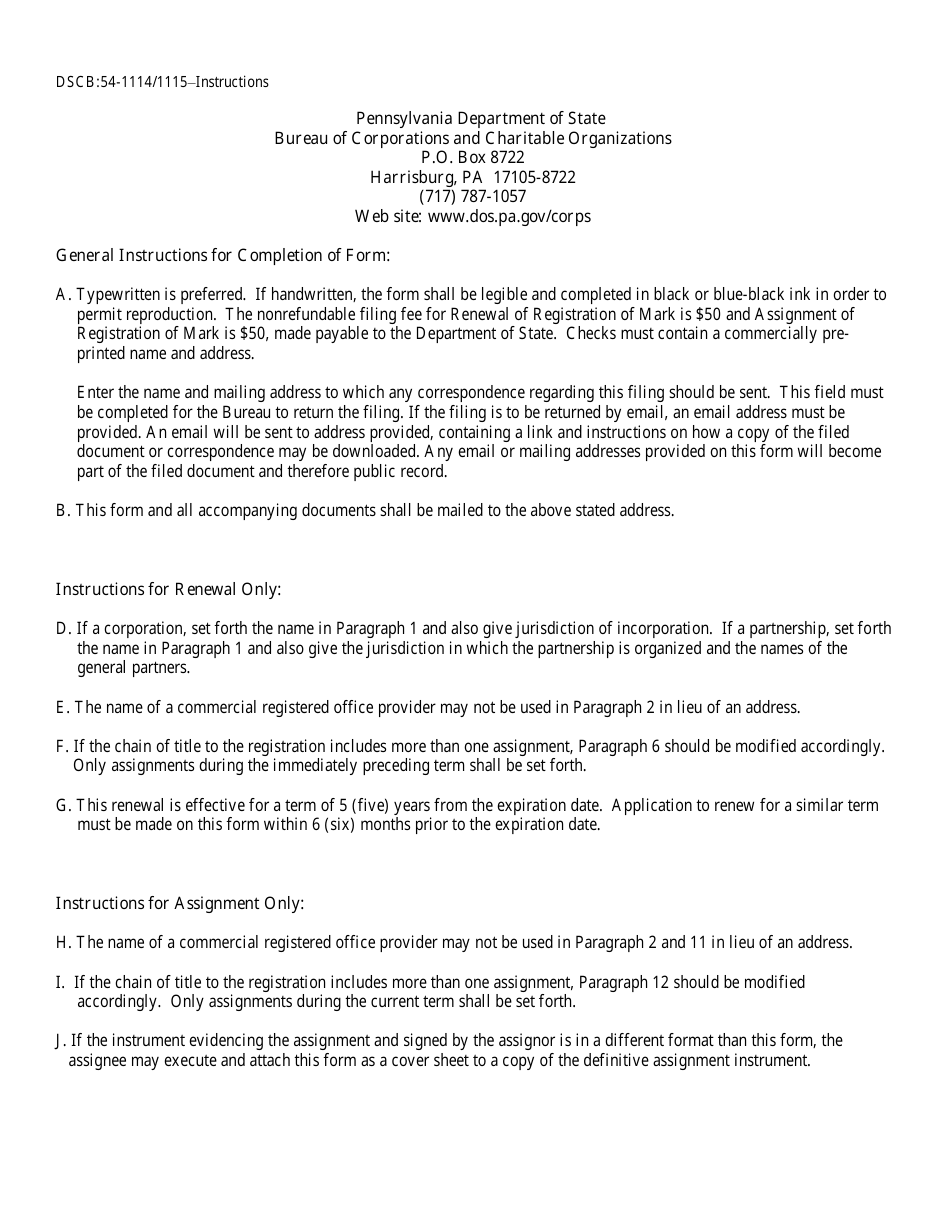
What Is Form DSCB:5401114/1115?

This is a legal form that was released by the Pennsylvania Department of State - a government authority operating within Pennsylvania. As of today, no separate filing guidelines for the form are provided by the issuing department.

FAQ

Q: What is Form DSCB:5401114/1115?
A: Form DSCB:5401114/1115 is a form used for the renewal or assignment of a trademark or service mark in Pennsylvania.

Q: What is a trademark or service mark?
A: A trademark or service mark is a symbol or word that identifies and distinguishes a product or service from others in the market.

Q: Who can use Form DSCB:5401114/1115?
A: Anyone who wants to renew or assign a trademark or service mark in Pennsylvania can use this form.

Q: Why would someone need to renew a trademark or service mark?
A: A trademark or service mark needs to be renewed periodically to maintain its legal protection and prevent it from becoming abandoned.

Q: What is an assignment of a trademark or service mark?
A: An assignment of a trademark or service mark is the transfer of ownership or rights to another party.

ADVERTISEMENT

Form Details:

  • Released on July 1, 2015;
  • The latest edition provided by the Pennsylvania Department of State;
  • Easy to use and ready to print;
  • Quick to customize;
  • Compatible with most PDF-viewing applications;
  • Fill out the form in our online filing application.

Download a fillable version of Form DSCB:5401114/1115 by clicking the link below or browse more documents and templates provided by the Pennsylvania Department of State.

Download Form DSCB:5401114 / 1115 Renewal / Assignment of Trademark or Service Mark - Pennsylvania

4.4 of 5 (31 votes)
  • Form DSCB:5401114/1115 Renewal/Assignment of Trademark or Service Mark - Pennsylvania

    1

  • Form DSCB:5401114/1115 Renewal/Assignment of Trademark or Service Mark - Pennsylvania, Page 2

    2

  • Form DSCB:5401114/1115 Renewal/Assignment of Trademark or Service Mark - Pennsylvania, Page 3

    3

  • Form DSCB:5401114/1115 Renewal/Assignment of Trademark or Service Mark - Pennsylvania, Page 4

    4

  • Form DSCB:5401114 / 1115 Renewal / Assignment of Trademark or Service Mark - Pennsylvania, Page 1
  • Form DSCB:5401114 / 1115 Renewal / Assignment of Trademark or Service Mark - Pennsylvania, Page 2
  • Form DSCB:5401114 / 1115 Renewal / Assignment of Trademark or Service Mark - Pennsylvania, Page 3
  • Form DSCB:5401114 / 1115 Renewal / Assignment of Trademark or Service Mark - Pennsylvania, Page 4
Prev 1 2 3 4 Next
ADVERTISEMENT