Form NB-136 Replacement of Stamped Data Form - Texas

Form NB-136 Replacement of Stamped Data Form - Texas

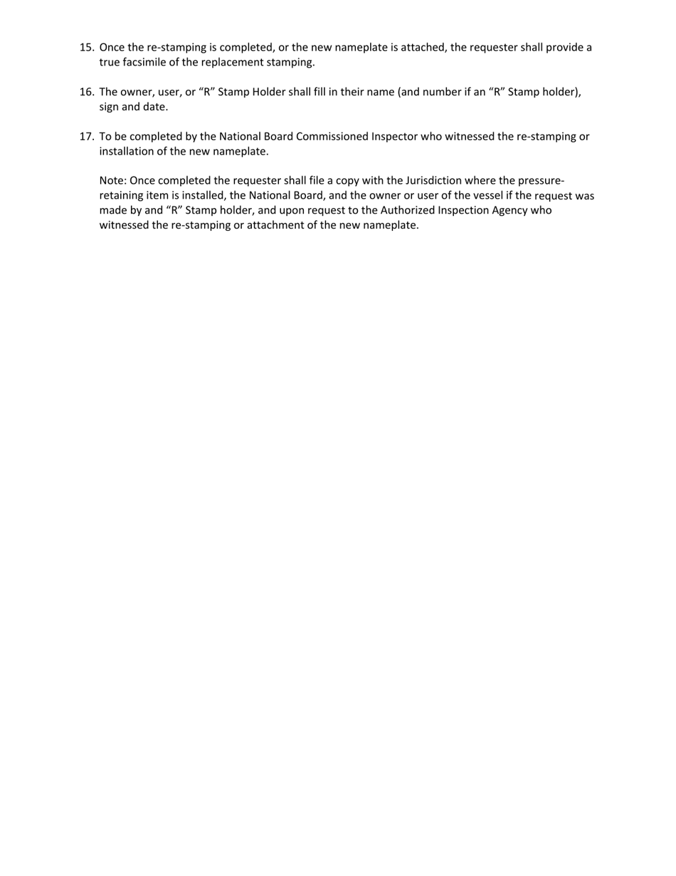
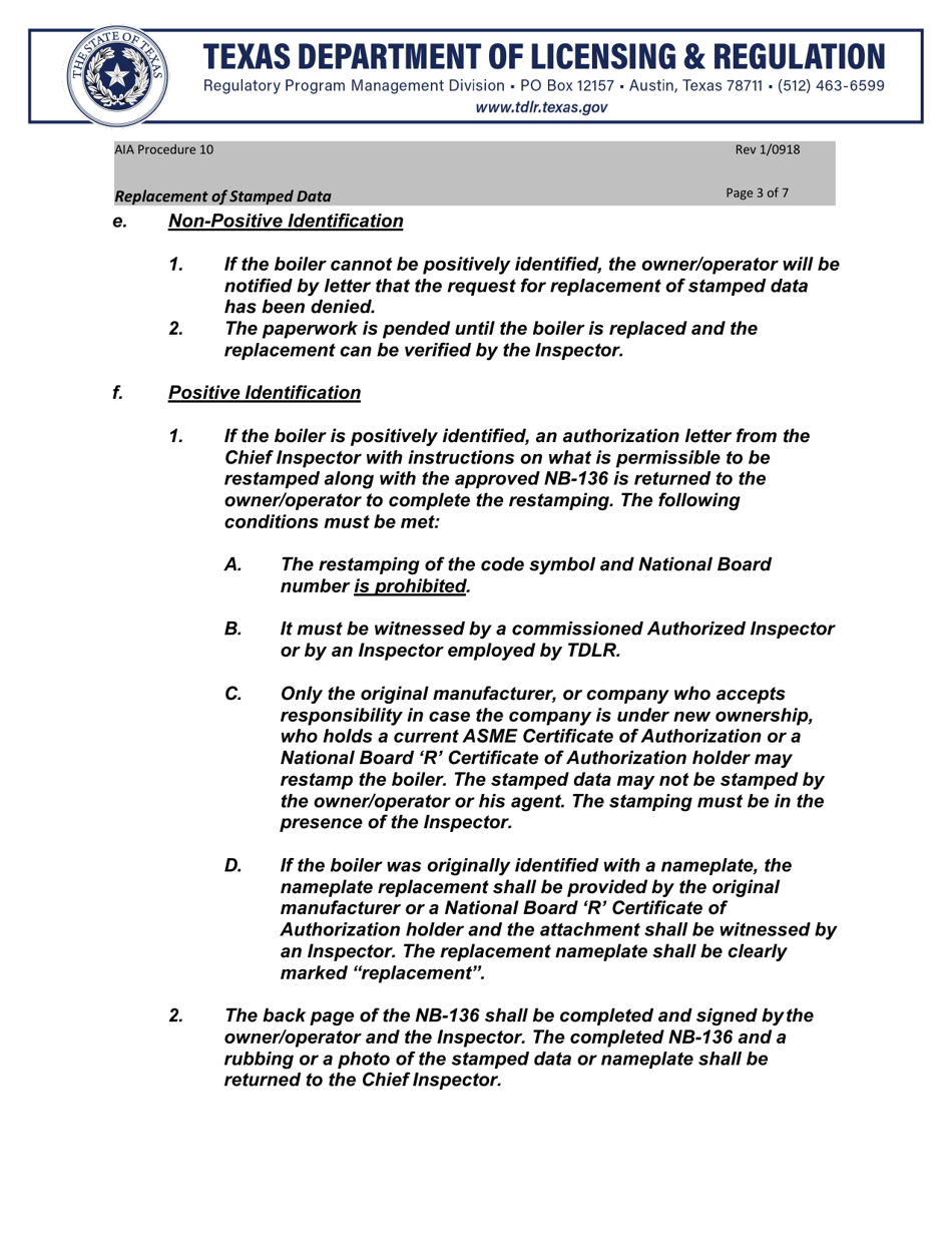
What Is Form NB-136?

This is a legal form that was released by the Texas Department of Licensing and Regulation - a government authority operating within Texas. As of today, no separate filing guidelines for the form are provided by the issuing department.

FAQ

Q: What is Form NB-136?
A: Form NB-136 is the Replacement of Stamped Data Form in Texas.

Q: What is the purpose of Form NB-136?
A: The purpose of Form NB-136 is to request a replacement of stamped data in Texas.

Q: What information is required on Form NB-136?
A: Form NB-136 requires information such as the vehicle identification number (VIN), vehicle make and model, and owner's information.

ADVERTISEMENT

Form Details:

  • Released on January 1, 2019;
  • The latest edition provided by the Texas Department of Licensing and Regulation;
  • Easy to use and ready to print;
  • Quick to customize;
  • Compatible with most PDF-viewing applications;
  • Fill out the form in our online filing application.

Download a fillable version of Form NB-136 by clicking the link below or browse more documents and templates provided by the Texas Department of Licensing and Regulation.

Download Form NB-136 Replacement of Stamped Data Form - Texas

4.4 of 5 (33 votes)
  • Form NB-136 Replacement of Stamped Data Form - Texas

    1

  • Form NB-136 Replacement of Stamped Data Form - Texas, Page 2

    2

  • Form NB-136 Replacement of Stamped Data Form - Texas, Page 3

    3

  • Form NB-136 Replacement of Stamped Data Form - Texas, Page 4

    4

  • Form NB-136 Replacement of Stamped Data Form - Texas, Page 5

    5

  • Form NB-136 Replacement of Stamped Data Form - Texas, Page 6

    6

  • Form NB-136 Replacement of Stamped Data Form - Texas, Page 7

    7

  • Form NB-136 Replacement of Stamped Data Form - Texas, Page 1
  • Form NB-136 Replacement of Stamped Data Form - Texas, Page 2
  • Form NB-136 Replacement of Stamped Data Form - Texas, Page 3
  • Form NB-136 Replacement of Stamped Data Form - Texas, Page 4
  • Form NB-136 Replacement of Stamped Data Form - Texas, Page 5
  • Form NB-136 Replacement of Stamped Data Form - Texas, Page 6
  • Form NB-136 Replacement of Stamped Data Form - Texas, Page 7
Prev 1 2 3 4 5 ... 7 Next
ADVERTISEMENT

Related Documents