Form AGR2180 Section I Organic System Plan - Handlers and Processors (Pest Management) - Washington

Notification Icon This version of the form is not currently in use and is provided for reference only. Download this version of Form AGR2180 Section I for the current year.

Form AGR2180 Section I Organic System Plan - Handlers and Processors (Pest Management) - Washington

What Is Form AGR2180 Section I?

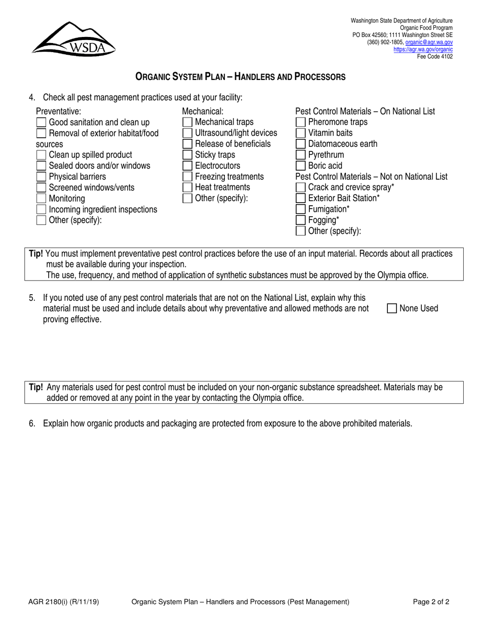
This is a legal form that was released by the Washington State Department of Agriculture - a government authority operating within Washington.The document is a supplement to Form AGR2180, Organic System Plan - Handlers and Processors. As of today, no separate filing guidelines for the form are provided by the issuing department.

FAQ

Q: What is Form AGR2180?
A: Form AGR2180 is a document that pertains to the Organic System Plan for Handlers and Processors in Washington.

Q: What does Section I of Form AGR2180 cover?
A: Section I of Form AGR2180 covers Pest Management for Handlers and Processors.

Q: What is the purpose of the Organic System Plan?
A: The Organic System Plan is designed to ensure that handlers and processors follow organic standards and regulations.

Q: What does pest management involve?
A: Pest management involves strategies used to prevent and control pests in organic handling and processing operations.

Q: Why is pest management important in organic systems?
A: Pest management is important in organic systems to protect the integrity of organic products and prevent the use of harmful chemicals.

Q: What are some common pest management practices in organic systems?
A: Common pest management practices in organic systems include crop rotation, mechanical controls, and the use of biological pest control agents.

Q: What is crop rotation?
A: Crop rotation is the practice of growing different crops in succession to reduce pest populations and maintain soil health.

Q: What are mechanical controls?
A: Mechanical controls involve physical methods such as traps, barriers, and manual removal to manage pests.

Q: What are biological pest control agents?
A: Biological pest control agents are living organisms that are used to control pests, such as beneficial insects or microbial agents.

Q: Are synthetic pesticides allowed in organic pest management?
A: No, synthetic pesticides are not allowed in organic pest management. Only approved natural and organic methods are permitted.

Q: Who should use Form AGR2180?
A: Handlers and processors in Washington who are involved in organic production should use Form AGR2180.

Q: Is Form AGR2180 legally required for organic handlers and processors in Washington?
A: Yes, organic handlers and processors in Washington are required to maintain and submit an Organic System Plan, including Form AGR2180.

ADVERTISEMENT

Form Details:

  • Released on November 1, 2019;
  • The latest edition provided by the Washington State Department of Agriculture;
  • Easy to use and ready to print;
  • Quick to customize;
  • Compatible with most PDF-viewing applications;
  • Fill out the form in our online filing application.

Download a printable version of Form AGR2180 Section I by clicking the link below or browse more documents and templates provided by the Washington State Department of Agriculture.

Download Form AGR2180 Section I Organic System Plan - Handlers and Processors (Pest Management) - Washington

4.4 of 5 (8 votes)
  • Form AGR2180 Section I Organic System Plan - Handlers and Processors (Pest Management) - Washington

    1

  • Form AGR2180 Section I Organic System Plan - Handlers and Processors (Pest Management) - Washington, Page 2

    2

  • Form AGR2180 Section I Organic System Plan - Handlers and Processors (Pest Management) - Washington, Page 1
  • Form AGR2180 Section I Organic System Plan - Handlers and Processors (Pest Management) - Washington, Page 2
Prev 1 2 Next
ADVERTISEMENT

Related Documents