Form AGR2180 Organic System Plan - Handlers and Processors - Washington

Notification Icon This version of the form is not currently in use and is provided for reference only. Download this version of Form AGR2180 for the current year.

Form AGR2180 Organic System Plan - Handlers and Processors - Washington

What Is Form AGR2180?

This is a legal form that was released by the Washington State Department of Agriculture - a government authority operating within Washington. As of today, no separate filing guidelines for the form are provided by the issuing department.

FAQ

Q: What is AGR2180 Organic System Plan?
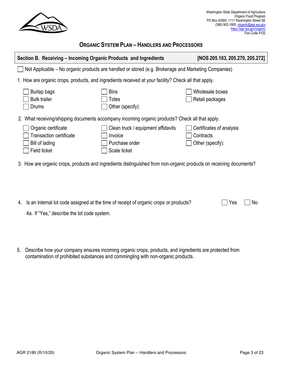
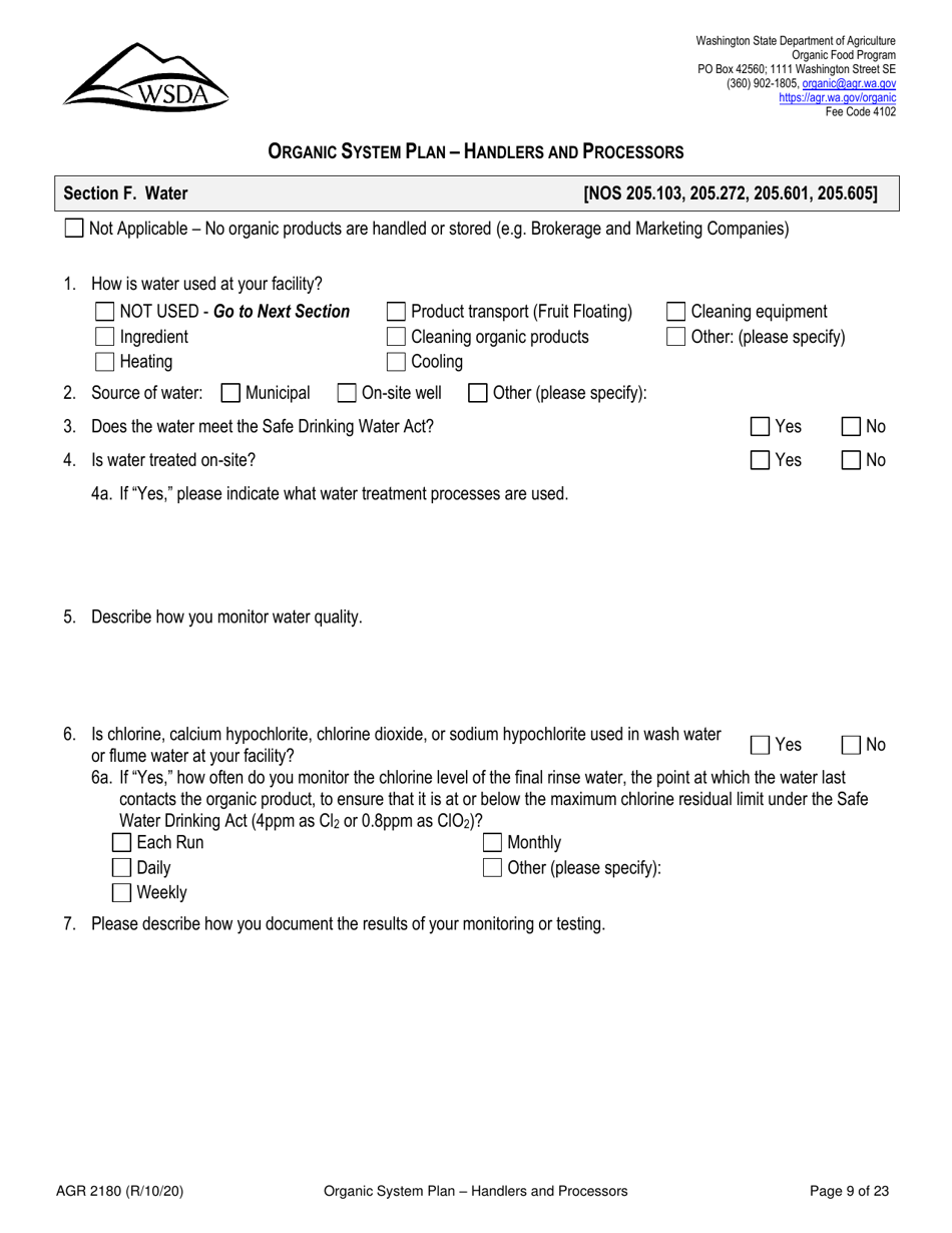
A: AGR2180 Organic System Plan is a set of guidelines and requirements for handlers and processors of organic products in Washington.

Q: Who should submit the AGR2180 Organic System Plan?
A: Handlers and processors of organic products in Washington should submit the AGR2180 Organic System Plan.

Q: What is the purpose of the AGR2180 Organic System Plan?
A: The purpose of the AGR2180 Organic System Plan is to ensure compliance with organic standards and maintain the integrity of organic products in Washington.

Q: What are the requirements for handlers and processors under the AGR2180 Organic System Plan?
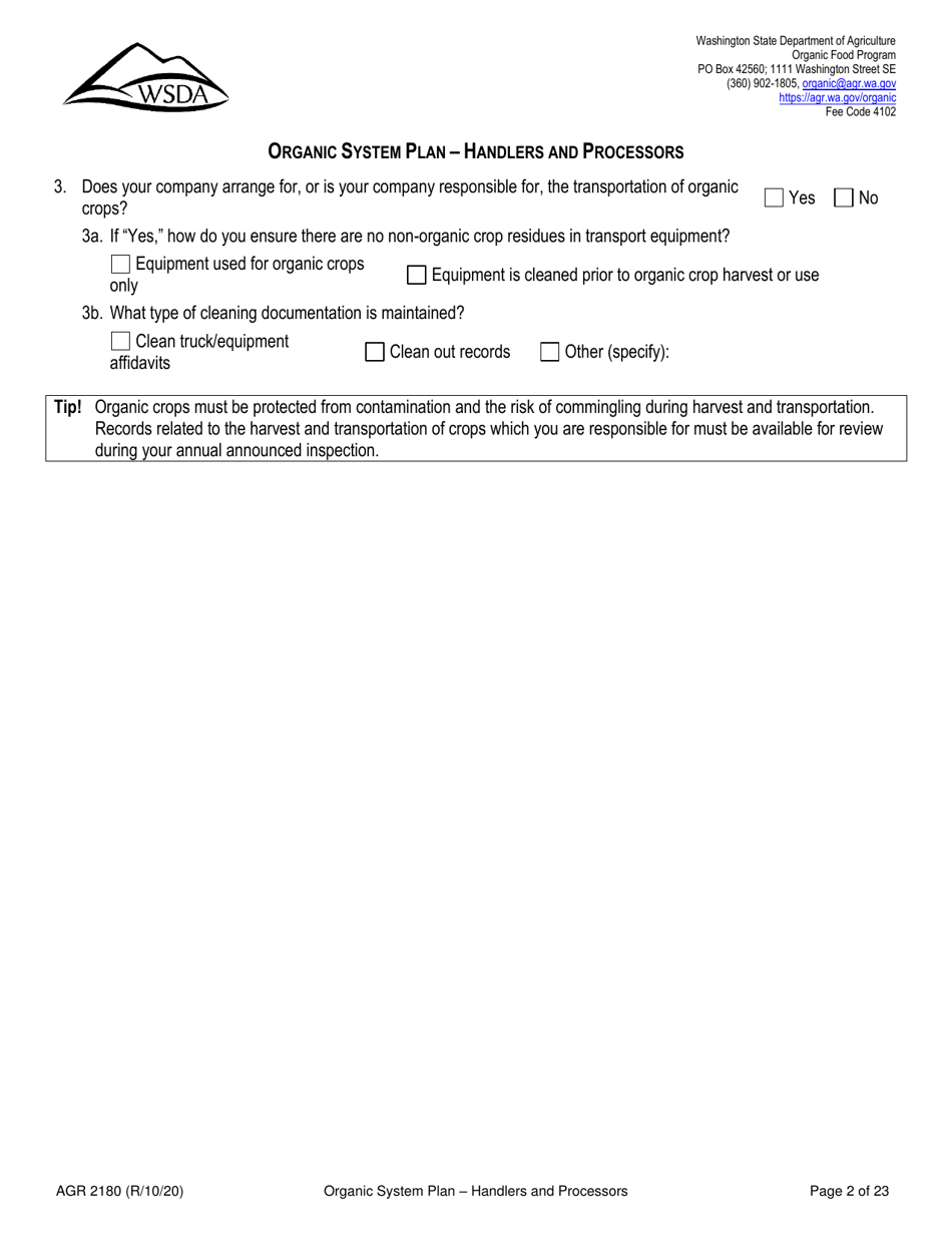
A: Handlers and processors are required to maintain detailed records, implement measures to prevent commingling and contamination, and undergo annual inspections.

Q: How often should handlers and processors submit the AGR2180 Organic System Plan?
A: Handlers and processors are required to submit the AGR2180 Organic System Plan annually.

Q: Are there any fees associated with submitting the AGR2180 Organic System Plan?
A: Yes, there is an application and certification fee associated with submitting the AGR2180 Organic System Plan.

ADVERTISEMENT

Form Details:

  • Released on October 1, 2020;
  • The latest edition provided by the Washington State Department of Agriculture;
  • Easy to use and ready to print;
  • Quick to customize;
  • Compatible with most PDF-viewing applications;
  • Fill out the form in our online filing application.

Download a printable version of Form AGR2180 by clicking the link below or browse more documents and templates provided by the Washington State Department of Agriculture.

Download Form AGR2180 Organic System Plan - Handlers and Processors - Washington

4.8 of 5 (29 votes)
  • Form AGR2180 Organic System Plan - Handlers and Processors - Washington

    1

  • Form AGR2180 Organic System Plan - Handlers and Processors - Washington, Page 2

    2

  • Form AGR2180 Organic System Plan - Handlers and Processors - Washington, Page 3

    3

  • Form AGR2180 Organic System Plan - Handlers and Processors - Washington, Page 4

    4

  • Form AGR2180 Organic System Plan - Handlers and Processors - Washington, Page 5

    5

  • Form AGR2180 Organic System Plan - Handlers and Processors - Washington, Page 6

    6

  • Form AGR2180 Organic System Plan - Handlers and Processors - Washington, Page 7

    7

  • Form AGR2180 Organic System Plan - Handlers and Processors - Washington, Page 8

    8

  • Form AGR2180 Organic System Plan - Handlers and Processors - Washington, Page 9

    9

  • Form AGR2180 Organic System Plan - Handlers and Processors - Washington, Page 10

    10

  • Form AGR2180 Organic System Plan - Handlers and Processors - Washington, Page 11

    11

  • Form AGR2180 Organic System Plan - Handlers and Processors - Washington, Page 12

    12

  • Form AGR2180 Organic System Plan - Handlers and Processors - Washington, Page 13

    13

  • Form AGR2180 Organic System Plan - Handlers and Processors - Washington, Page 14

    14

  • Form AGR2180 Organic System Plan - Handlers and Processors - Washington, Page 15

    15

  • Form AGR2180 Organic System Plan - Handlers and Processors - Washington, Page 16

    16

  • Form AGR2180 Organic System Plan - Handlers and Processors - Washington, Page 17

    17

  • Form AGR2180 Organic System Plan - Handlers and Processors - Washington, Page 18

    18

  • Form AGR2180 Organic System Plan - Handlers and Processors - Washington, Page 19

    19

  • Form AGR2180 Organic System Plan - Handlers and Processors - Washington, Page 20

    20

  • Form AGR2180 Organic System Plan - Handlers and Processors - Washington, Page 21

    21

  • Form AGR2180 Organic System Plan - Handlers and Processors - Washington, Page 22

    22

  • Form AGR2180 Organic System Plan - Handlers and Processors - Washington, Page 23

    23

  • Form AGR2180 Organic System Plan - Handlers and Processors - Washington, Page 1
  • Form AGR2180 Organic System Plan - Handlers and Processors - Washington, Page 2
  • Form AGR2180 Organic System Plan - Handlers and Processors - Washington, Page 3
  • Form AGR2180 Organic System Plan - Handlers and Processors - Washington, Page 4
  • Form AGR2180 Organic System Plan - Handlers and Processors - Washington, Page 5
  • Form AGR2180 Organic System Plan - Handlers and Processors - Washington, Page 6
  • Form AGR2180 Organic System Plan - Handlers and Processors - Washington, Page 7
  • Form AGR2180 Organic System Plan - Handlers and Processors - Washington, Page 8
  • Form AGR2180 Organic System Plan - Handlers and Processors - Washington, Page 9
  • Form AGR2180 Organic System Plan - Handlers and Processors - Washington, Page 10
  • Form AGR2180 Organic System Plan - Handlers and Processors - Washington, Page 11
  • Form AGR2180 Organic System Plan - Handlers and Processors - Washington, Page 12
  • Form AGR2180 Organic System Plan - Handlers and Processors - Washington, Page 13
  • Form AGR2180 Organic System Plan - Handlers and Processors - Washington, Page 14
  • Form AGR2180 Organic System Plan - Handlers and Processors - Washington, Page 15
  • Form AGR2180 Organic System Plan - Handlers and Processors - Washington, Page 16
  • Form AGR2180 Organic System Plan - Handlers and Processors - Washington, Page 17
  • Form AGR2180 Organic System Plan - Handlers and Processors - Washington, Page 18
  • Form AGR2180 Organic System Plan - Handlers and Processors - Washington, Page 19
  • Form AGR2180 Organic System Plan - Handlers and Processors - Washington, Page 20
  • Form AGR2180 Organic System Plan - Handlers and Processors - Washington, Page 21
  • Form AGR2180 Organic System Plan - Handlers and Processors - Washington, Page 22
  • Form AGR2180 Organic System Plan - Handlers and Processors - Washington, Page 23
Prev 1 2 3 4 5 ... 23 Next
ADVERTISEMENT

Related Documents