DOT Form 224-693 Application for Utility Permit (Stormwater Discharge) - Washington

DOT Form 224-693 Application for Utility Permit (Stormwater Discharge) - Washington

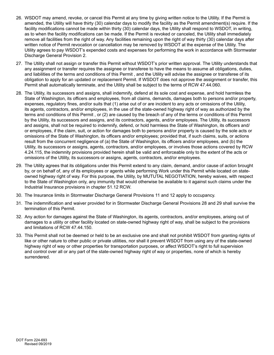
What Is DOT Form 224-693?

This is a legal form that was released by the Washington State Department of Transportation - a government authority operating within Washington. As of today, no separate filing guidelines for the form are provided by the issuing department.

FAQ

Q: What is DOT Form 224-693?
A: DOT Form 224-693 is the application form for a Utility Permit (Stormwater Discharge) in Washington.

Q: What is the purpose of DOT Form 224-693?
A: The purpose of DOT Form 224-693 is to apply for a Utility Permit for stormwater discharge in Washington.

Q: What is stormwater discharge?
A: Stormwater discharge refers to the flow of rainwater or melted snow that is not absorbed into the ground and instead flows into water bodies.

Q: Do I need a Utility Permit for stormwater discharge in Washington?
A: Yes, you need a Utility Permit for stormwater discharge in Washington.

Q: Are there any specific requirements for obtaining a Utility Permit for stormwater discharge in Washington?
A: Yes, there are specific requirements that need to be met for obtaining a Utility Permit for stormwater discharge in Washington. The details can be found in the application form.

Q: Can I submit DOT Form 224-693 electronically?
A: Yes, DOT Form 224-693 can be submitted electronically.

Q: What is the Department of Transportation (DOT)?
A: The Department of Transportation (DOT) is a government agency responsible for maintaining roads, highways, and transportation systems in Washington.

Q: Is the Utility Permit for stormwater discharge applicable only to Washington?
A: Yes, the Utility Permit for stormwater discharge is applicable only to Washington.

Q: Are there any fees associated with obtaining a Utility Permit for stormwater discharge in Washington?
A: Yes, there are fees associated with obtaining a Utility Permit for stormwater discharge in Washington. The specific fee details can be found in the application form.

ADVERTISEMENT

Form Details:

  • Released on September 1, 2019;
  • The latest edition provided by the Washington State Department of Transportation;
  • Easy to use and ready to print;
  • Quick to customize;
  • Compatible with most PDF-viewing applications;
  • Fill out the form in our online filing application.

Download a fillable version of DOT Form 224-693 by clicking the link below or browse more documents and templates provided by the Washington State Department of Transportation.

Download DOT Form 224-693 Application for Utility Permit (Stormwater Discharge) - Washington

4.8 of 5 (14 votes)
  • DOT Form 224-693 Application for Utility Permit (Stormwater Discharge) - Washington

    1

  • DOT Form 224-693 Application for Utility Permit (Stormwater Discharge) - Washington, Page 2

    2

  • DOT Form 224-693 Application for Utility Permit (Stormwater Discharge) - Washington, Page 3

    3

  • DOT Form 224-693 Application for Utility Permit (Stormwater Discharge) - Washington, Page 4

    4

  • DOT Form 224-693 Application for Utility Permit (Stormwater Discharge) - Washington, Page 5

    5

  • DOT Form 224-693 Application for Utility Permit (Stormwater Discharge) - Washington, Page 1
  • DOT Form 224-693 Application for Utility Permit (Stormwater Discharge) - Washington, Page 2
  • DOT Form 224-693 Application for Utility Permit (Stormwater Discharge) - Washington, Page 3
  • DOT Form 224-693 Application for Utility Permit (Stormwater Discharge) - Washington, Page 4
  • DOT Form 224-693 Application for Utility Permit (Stormwater Discharge) - Washington, Page 5
Prev 1 2 3 4 5 Next
ADVERTISEMENT

Related Documents