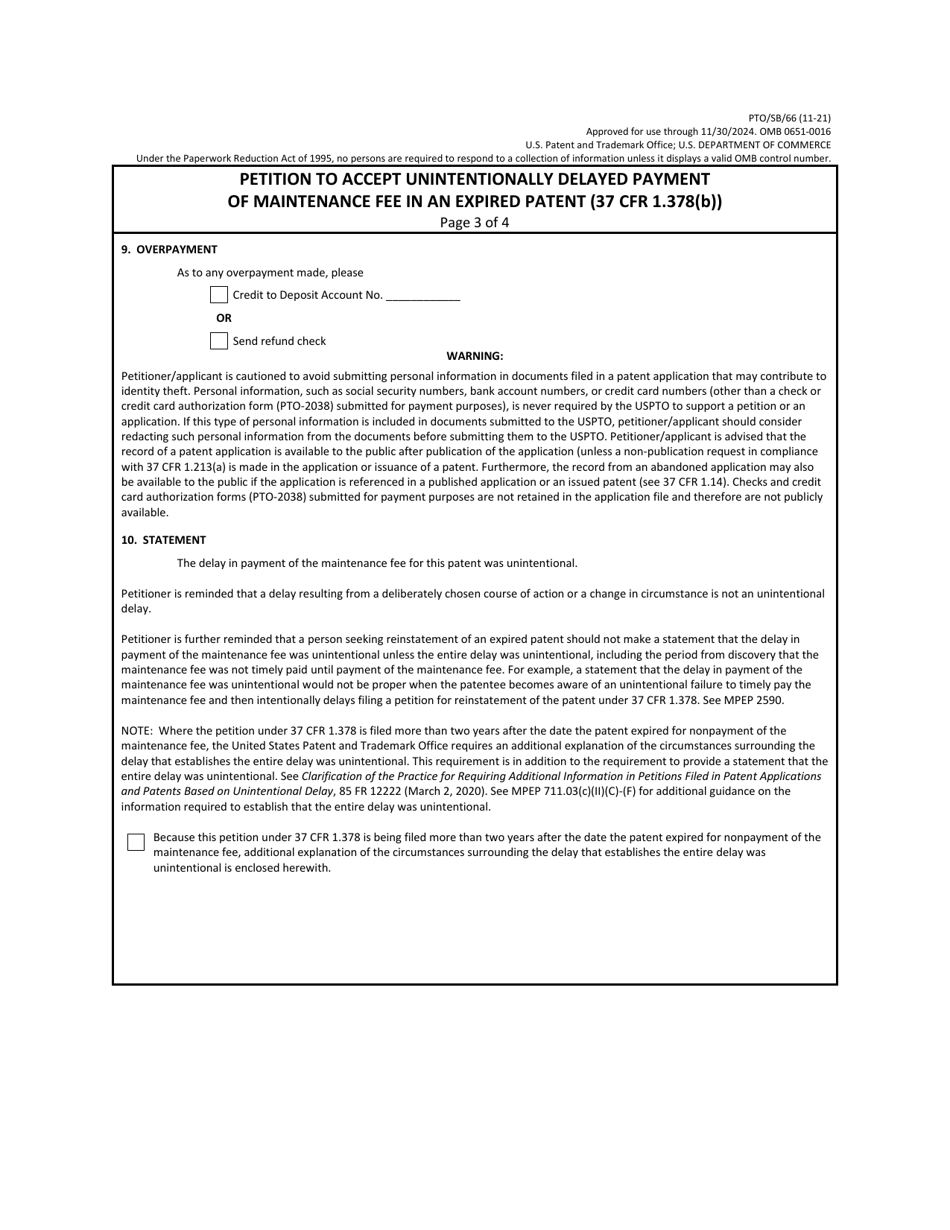
Form PTO / SB / 66 Petition to Accept Unintentionally Delayed Payment of Maintenance Fee in an Expired Patent (37 Cfr 1.378(B))

Notification Icon This version of the form is not currently in use and is provided for reference only. Download this version of Form PTO/SB/66 for the current year.

Form PTO / SB / 66 Petition to Accept Unintentionally Delayed Payment of Maintenance Fee in an Expired Patent (37 Cfr 1.378(B))

What Is Form PTO/SB/66?

This is a legal form that was released by the U.S. Department of Commerce - Patent and Trademark Office on November 1, 2021 and used country-wide. As of today, no separate filing guidelines for the form are provided by the issuing department.

FAQ

Q: What is Form PTO/SB/66?
A: Form PTO/SB/66 is a petition to accept unintentionally delayed payment of maintenance fee in an expired patent.

Q: When should I use Form PTO/SB/66?
A: You should use Form PTO/SB/66 when you want to request the acceptance of a delayed payment of maintenance fee in an expired patent.

Q: What is the purpose of Form PTO/SB/66?
A: The purpose of Form PTO/SB/66 is to petition the US Patent and Trademark Office (USPTO) to accept a late payment of a maintenance fee for an expired patent.

Q: What is the applicable regulation for Form PTO/SB/66?
A: Form PTO/SB/66 is governed by 37 CFR 1.378(b).

Q: Who can submit Form PTO/SB/66?
A: The applicant, patentee, or their representative can submit Form PTO/SB/66.

Q: What information is required in Form PTO/SB/66?
A: Form PTO/SB/66 requires information such as the patent number, the unintentionally delayed maintenance fee payment, and a statement explaining the unintentional delay.

Q: What happens after submitting Form PTO/SB/66?
A: After submitting Form PTO/SB/66, the USPTO will review the petition and determine whether to accept or deny the delayed payment of the maintenance fee.

Q: Can I appeal the decision if my Form PTO/SB/66 is denied?
A: Yes, if your Form PTO/SB/66 is denied, you can file an appeal to the Patent Trial and Appeal Board (PTAB) within a set time frame.

ADVERTISEMENT

Form Details:

  • Released on November 1, 2021;
  • The latest available edition released by the U.S. Department of Commerce - Patent and Trademark Office;
  • Easy to use and ready to print;
  • Yours to fill out and keep for your records;
  • Compatible with most PDF-viewing applications;
  • Fill out the form in our online filing application.

Download a fillable version of Form PTO/SB/66 by clicking the link below or browse more documents and templates provided by the U.S. Department of Commerce - Patent and Trademark Office.

Download Form PTO / SB / 66 Petition to Accept Unintentionally Delayed Payment of Maintenance Fee in an Expired Patent (37 Cfr 1.378(B))

4.3 of 5 (14 votes)
  • Form PTO/SB/66 Petition to Accept Unintentionally Delayed Payment of Maintenance Fee in an Expired Patent (37 Cfr 1.378(B))

    1

  • Form PTO/SB/66 Petition to Accept Unintentionally Delayed Payment of Maintenance Fee in an Expired Patent (37 Cfr 1.378(B)), Page 2

    2

  • Form PTO/SB/66 Petition to Accept Unintentionally Delayed Payment of Maintenance Fee in an Expired Patent (37 Cfr 1.378(B)), Page 3

    3

  • Form PTO/SB/66 Petition to Accept Unintentionally Delayed Payment of Maintenance Fee in an Expired Patent (37 Cfr 1.378(B)), Page 4

    4

  • Form PTO/SB/66 Petition to Accept Unintentionally Delayed Payment of Maintenance Fee in an Expired Patent (37 Cfr 1.378(B)), Page 5

    5

  • Form PTO / SB / 66 Petition to Accept Unintentionally Delayed Payment of Maintenance Fee in an Expired Patent (37 Cfr 1.378(B)), Page 1
  • Form PTO / SB / 66 Petition to Accept Unintentionally Delayed Payment of Maintenance Fee in an Expired Patent (37 Cfr 1.378(B)), Page 2
  • Form PTO / SB / 66 Petition to Accept Unintentionally Delayed Payment of Maintenance Fee in an Expired Patent (37 Cfr 1.378(B)), Page 3
  • Form PTO / SB / 66 Petition to Accept Unintentionally Delayed Payment of Maintenance Fee in an Expired Patent (37 Cfr 1.378(B)), Page 4
  • Form PTO / SB / 66 Petition to Accept Unintentionally Delayed Payment of Maintenance Fee in an Expired Patent (37 Cfr 1.378(B)), Page 5
Prev 1 2 3 4 5 Next
ADVERTISEMENT