Form I&A3 Information & Assistance Unit Guide - How to Object to Your Summary Rating - California

Form I&A3 Information & Assistance Unit Guide - How to Object to Your Summary Rating - California

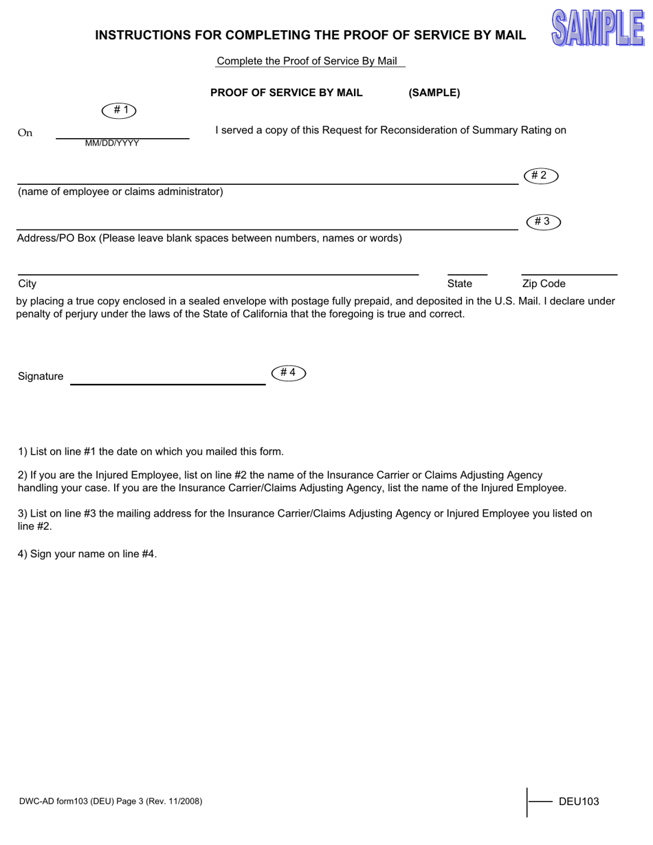
What Is Form I&A3?

This is a legal form that was released by the California Department of Transportation - a government authority operating within California. As of today, no separate filing guidelines for the form are provided by the issuing department.

FAQ

Q: What is Form I&A3?
A: Form I&A3 is the Information & Assistance Unit Guide.

Q: What is the purpose of Form I&A3?
A: The purpose of Form I&A3 is to provide guidance on how to object to your summary rating in California.

Q: What does the Information & Assistance Unit do?
A: The Information & Assistance Unit provides guidance and assistance to individuals in California regarding their workers' compensation claims.

Q: What is a summary rating?
A: A summary rating is a determination of the level of permanent disability resulting from a workplace injury.

Q: Why would someone object to their summary rating?
A: Someone may object to their summary rating if they believe it does not accurately reflect the extent of their disability.

Q: How can someone object to their summary rating?
A: Form I&A3 provides instructions on how to object to a summary rating, including the steps to take and the deadlines to meet.

ADVERTISEMENT

Form Details:

  • Released on November 1, 2014;
  • The latest edition provided by the California Department of Transportation;
  • Easy to use and ready to print;
  • Quick to customize;
  • Compatible with most PDF-viewing applications;
  • Fill out the form in our online filing application.

Download a printable version of Form I&A3 by clicking the link below or browse more documents and templates provided by the California Department of Transportation.

Download Form I&A3 Information & Assistance Unit Guide - How to Object to Your Summary Rating - California

4.5 of 5 (13 votes)
  • Form I&A3 Information & Assistance Unit Guide - How to Object to Your Summary Rating - California

    1

  • Form I&A3 Information & Assistance Unit Guide - How to Object to Your Summary Rating - California, Page 2

    2

  • Form I&A3 Information & Assistance Unit Guide - How to Object to Your Summary Rating - California, Page 3

    3

  • Form I&A3 Information & Assistance Unit Guide - How to Object to Your Summary Rating - California, Page 4

    4

  • Form I&A3 Information & Assistance Unit Guide - How to Object to Your Summary Rating - California, Page 5

    5

  • Form I&A3 Information & Assistance Unit Guide - How to Object to Your Summary Rating - California, Page 6

    6

  • Form IA3 Information  Assistance Unit Guide - How to Object to Your Summary Rating - California, Page 1
  • Form IA3 Information  Assistance Unit Guide - How to Object to Your Summary Rating - California, Page 2
  • Form IA3 Information  Assistance Unit Guide - How to Object to Your Summary Rating - California, Page 3
  • Form IA3 Information  Assistance Unit Guide - How to Object to Your Summary Rating - California, Page 4
  • Form IA3 Information  Assistance Unit Guide - How to Object to Your Summary Rating - California, Page 5
  • Form IA3 Information  Assistance Unit Guide - How to Object to Your Summary Rating - California, Page 6
Prev 1 2 3 4 5 6 Next
ADVERTISEMENT

Related Documents