Instructions for Form AO242 Petition for a Writ of Habeas Corpus Under 28 U.s.c. 2241 - Connecticut

Instructions for Form AO242 Petition for a Writ of Habeas Corpus Under 28 U.s.c. 2241 - Connecticut

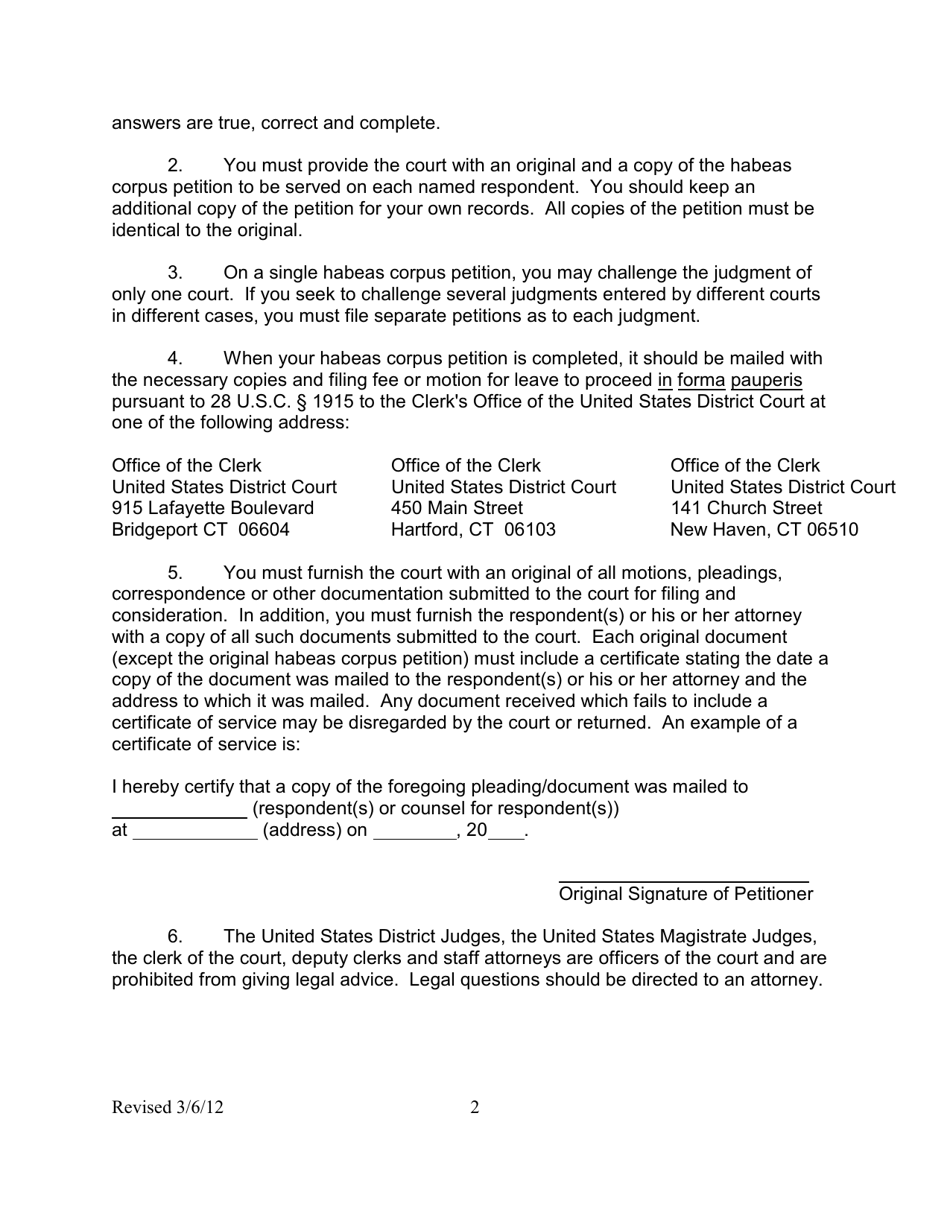
This document contains official instructions for Form AO242 , Petition for a Writ of Habeas Corpus Under 28 U.s.c. 2241 - a form released and collected by the United States District Court - District of Connecticut. An up-to-date fillable Form AO242 is available for download through this link.

FAQ

Q: What is Form AO242?
A: Form AO242 is a legal document used to file a petition for a Writ of Habeas Corpus under 28 U.S.C. 2241 in Connecticut.

Q: What is a Writ of Habeas Corpus?
A: A Writ of Habeas Corpus is a legal action that allows individuals to challenge the legality of their detention or imprisonment.

Q: What is 28 U.S.C. 2241?
A: 28 U.S.C. 2241 is a federal law that grants jurisdiction to federal courts to hear habeas corpus petitions.

Q: Who can file Form AO242?
A: Any person who is detained or imprisoned in Connecticut and wishes to challenge the legality of their detention can file Form AO242.

Q: What information do I need to provide in Form AO242?
A: You will need to provide personal information, details about your detention, and the grounds on which you are challenging the detention.

Q: What happens after I file Form AO242?
A: After filing Form AO242, the court will review your petition and determine whether to grant a Writ of Habeas Corpus and order a hearing.

Q: Can I file Form AO242 on my own?
A: Yes, you can file Form AO242 on your own without an attorney. However, it is recommended to seek legal advice to ensure you properly complete and file the petition.

ADVERTISEMENT

Instruction Details:

  • This 2-page document is available for download in PDF;
  • Actual and applicable for the current year;
  • Complete, printable, and free.

Download your copy of the instructions by clicking the link below or browse hundreds of other forms in our library of forms released by the United States District Court - District of Connecticut.

Download Instructions for Form AO242 Petition for a Writ of Habeas Corpus Under 28 U.s.c. 2241 - Connecticut

4.7 of 5 (25 votes)
  • Instructions for Form AO242 Petition for a Writ of Habeas Corpus Under 28 U.s.c. 2241 - Connecticut

    1

  • Instructions for Form AO242 Petition for a Writ of Habeas Corpus Under 28 U.s.c. 2241 - Connecticut, Page 2

    2

  • Instructions for Form AO242 Petition for a Writ of Habeas Corpus Under 28 U.s.c. 2241 - Connecticut, Page 1
  • Instructions for Form AO242 Petition for a Writ of Habeas Corpus Under 28 U.s.c. 2241 - Connecticut, Page 2
Prev 1 2 Next
ADVERTISEMENT