Dbe Joint Check Request Form - Georgia (United States)

Dbe Joint Check Request Form - Georgia (United States)

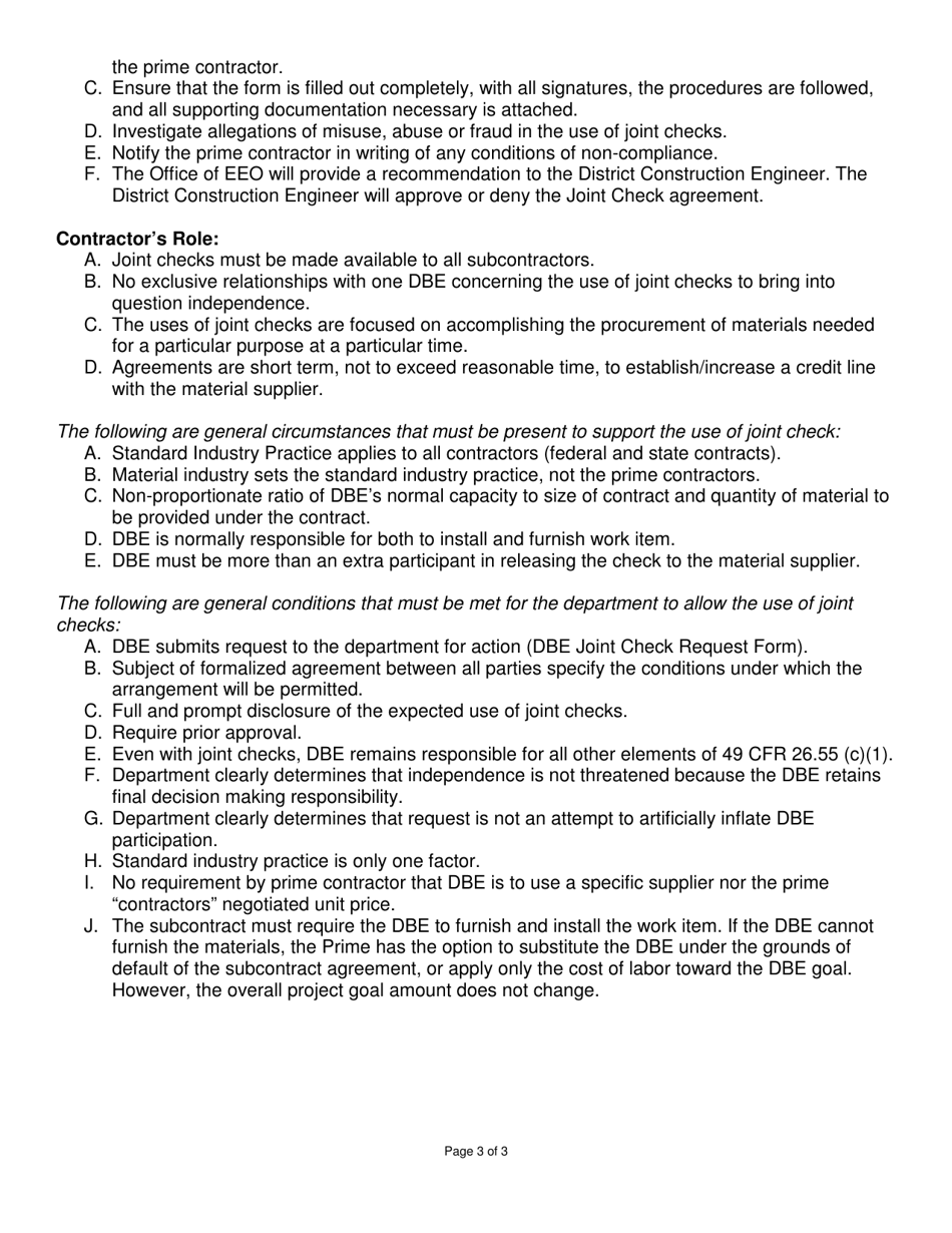
Dbe Joint Check Request Form is a legal document that was released by the Georgia Department of Transportation - a government authority operating within Georgia (United States).

FAQ

Q: What is a joint check request form?
A: A joint check request form is a document used in the construction industry to request payment from a project owner to a subcontractor or supplier, with the payment made jointly to both the subcontractor or supplier and their subcontractors or suppliers.

Q: Why would someone use a joint check request form?
A: Someone would use a joint check request form to ensure that payment is made not only to them but also to their subcontractors or suppliers, thus minimizing the risk of non-payment or disputes.

Q: Who uses a joint check request form?
A: Subcontractors and suppliers in the construction industry typically use joint check request forms to request payment.

Q: What information is typically included in a joint check request form?
A: A joint check request form typically includes information such as the project name, owner's name, subcontractor or supplier's name, the amount requested, and a list of subcontractors or suppliers to be paid.

Q: Is a joint check request form legally binding?
A: A joint check request form is not inherently legally binding, but it can serve as evidence of an agreement between parties to distribute payment as specified on the form.

ADVERTISEMENT

Form Details:

  • The latest edition currently provided by the Georgia Department of Transportation;
  • Ready to use and print;
  • Easy to customize;
  • Compatible with most PDF-viewing applications;
  • Fill out the form in our online filing application.

Download a printable version of the form by clicking the link below or browse more documents and templates provided by the Georgia Department of Transportation.

Download Dbe Joint Check Request Form - Georgia (United States)

4.8 of 5 (20 votes)
  • Dbe Joint Check Request Form - Georgia (United States)

    1

  • Dbe Joint Check Request Form - Georgia (United States), Page 2

    2

  • Dbe Joint Check Request Form - Georgia (United States), Page 3

    3

  • Dbe Joint Check Request Form - Georgia (United States), Page 1
  • Dbe Joint Check Request Form - Georgia (United States), Page 2
  • Dbe Joint Check Request Form - Georgia (United States), Page 3
Prev 1 2 3 Next
ADVERTISEMENT