Form OAHP1403 Architectural Inventory Form - Colorado Cultural Resource Survey - Colorado

Form OAHP1403 Architectural Inventory Form - Colorado Cultural Resource Survey - Colorado

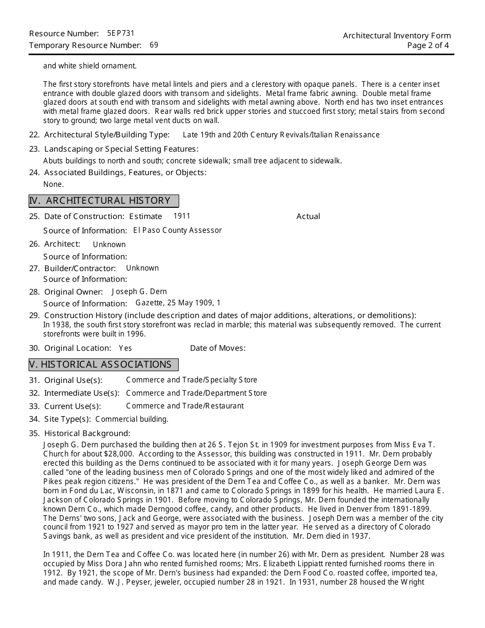
What Is Form OAHP1403?

This is a legal form that was released by the Colorado Department of Higher Education - a government authority operating within Colorado. As of today, no separate filing guidelines for the form are provided by the issuing department.

FAQ

Q: What is the OAHP1403 Architectural Inventory Form?
A: The OAHP1403 Architectural Inventory Form is a document used for the Colorado Cultural Resource Survey.

Q: What is the purpose of the Colorado Cultural Resource Survey?
A: The purpose of the Colorado Cultural Resource Survey is to identify and document historic buildings and structures in the state.

Q: Who uses the OAHP1403 Architectural Inventory Form?
A: The OAHP1403 Architectural Inventory Form is used by professionals conducting the Colorado Cultural Resource Survey.

Q: What information is included in the OAHP1403 Architectural Inventory Form?
A: The form includes information such as the building's location, architectural style, historical significance, and condition.

Q: Why is the Colorado Cultural Resource Survey important?
A: The Colorado Cultural Resource Survey helps to identify and preserve historic buildings and structures, which contribute to the state's cultural heritage.

ADVERTISEMENT

Form Details:

  • Released on September 1, 1998;
  • The latest edition provided by the Colorado Department of Higher Education;
  • Easy to use and ready to print;
  • Quick to customize;
  • Compatible with most PDF-viewing applications;
  • Fill out the form in our online filing application.

Download a printable version of Form OAHP1403 by clicking the link below or browse more documents and templates provided by the Colorado Department of Higher Education.

Download Form OAHP1403 Architectural Inventory Form - Colorado Cultural Resource Survey - Colorado

4.4 of 5 (67 votes)
  • Form OAHP1403 Architectural Inventory Form - Colorado Cultural Resource Survey - Colorado

    1

  • Form OAHP1403 Architectural Inventory Form - Colorado Cultural Resource Survey - Colorado, Page 2

    2

  • Form OAHP1403 Architectural Inventory Form - Colorado Cultural Resource Survey - Colorado, Page 3

    3

  • Form OAHP1403 Architectural Inventory Form - Colorado Cultural Resource Survey - Colorado, Page 4

    4

  • Form OAHP1403 Architectural Inventory Form - Colorado Cultural Resource Survey - Colorado, Page 1
  • Form OAHP1403 Architectural Inventory Form - Colorado Cultural Resource Survey - Colorado, Page 2
  • Form OAHP1403 Architectural Inventory Form - Colorado Cultural Resource Survey - Colorado, Page 3
  • Form OAHP1403 Architectural Inventory Form - Colorado Cultural Resource Survey - Colorado, Page 4
Prev 1 2 3 4 Next
ADVERTISEMENT