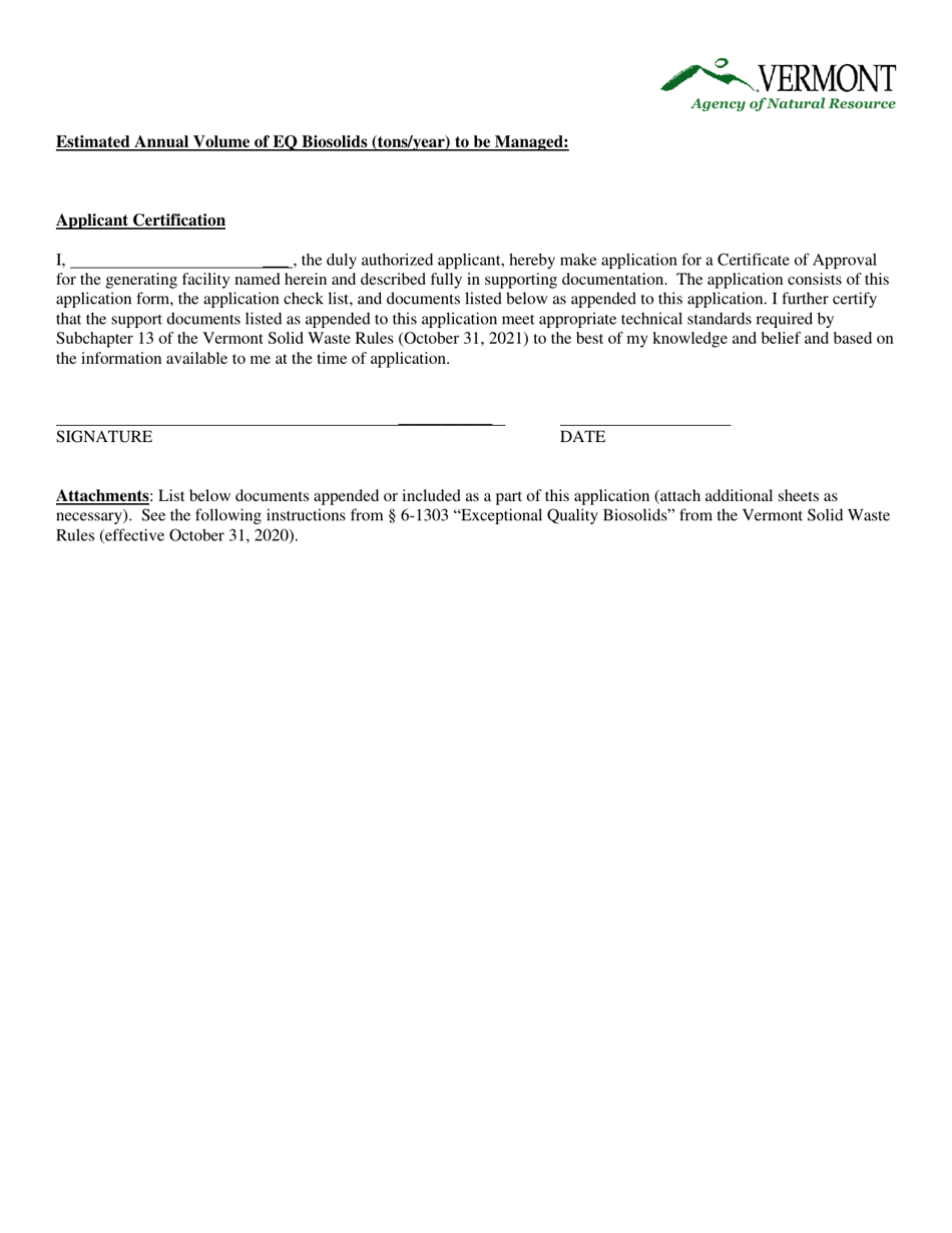
Certificate of Approval for Exceptional Quality (Eq) Biosolids Importation - Vermont

Certificate of Approval for Exceptional Quality (Eq) Biosolids Importation - Vermont

Certificate of Approval for Exceptional Quality (Eq) Biosolids Importation is a legal document that was released by the Vermont Department of Environmental Conservation - a government authority operating within Vermont.

FAQ

Q: What is the Certificate of Approval for Exceptional Quality (Eq) Biosolids Importation in Vermont?
A: The Certificate of Approval for Exceptional Quality (Eq) Biosolids Importation in Vermont is a document that allows the importation of high-quality biosolids into the state.

Q: What are biosolids?
A: Biosolids are the nutrient-rich organic materials derived from treated sewage sludge.

Q: Why is the Certificate of Approval required for biosolids importation?
A: The Certificate of Approval is required to ensure that imported biosolids meet the highest quality and safety standards.

Q: Who issues the Certificate of Approval for Exceptional Quality (Eq) Biosolids Importation in Vermont?
A: The Certificate of Approval is issued by the Vermont Department of Environmental Conservation.

Q: What are the criteria for Exceptional Quality (Eq) Biosolids?
A: Exceptional Quality (Eq) Biosolids must meet stringent quality standards for nutrient content, pathogens, and contaminants.

Q: Are there any restrictions on biosolids importation in Vermont?
A: Yes, there are restrictions on the types of biosolids that can be imported, as well as the quantity and application methods.

Q: How can I obtain a Certificate of Approval for Exceptional Quality (Eq) Biosolids Importation?
A: To obtain a Certificate of Approval, you must submit an application to the Vermont Department of Environmental Conservation and meet all the necessary requirements.

Q: What are the benefits of importing exceptional quality biosolids?
A: Importing exceptional quality biosolids can help improve soil fertility, promote sustainable agriculture, and reduce the need for chemical fertilizers.

ADVERTISEMENT

Form Details:

  • The latest edition currently provided by the Vermont Department of Environmental Conservation;
  • Ready to use and print;
  • Easy to customize;
  • Compatible with most PDF-viewing applications;
  • Fill out the form in our online filing application.

Download a printable version of the form by clicking the link below or browse more documents and templates provided by the Vermont Department of Environmental Conservation.

Download Certificate of Approval for Exceptional Quality (Eq) Biosolids Importation - Vermont

4.4 of 5 (19 votes)
  • Certificate of Approval for Exceptional Quality (Eq) Biosolids Importation - Vermont

    1

  • Certificate of Approval for Exceptional Quality (Eq) Biosolids Importation - Vermont, Page 2

    2

  • Certificate of Approval for Exceptional Quality (Eq) Biosolids Importation - Vermont, Page 3

    3

  • Certificate of Approval for Exceptional Quality (Eq) Biosolids Importation - Vermont, Page 4

    4

  • Certificate of Approval for Exceptional Quality (Eq) Biosolids Importation - Vermont, Page 5

    5

  • Certificate of Approval for Exceptional Quality (Eq) Biosolids Importation - Vermont, Page 6

    6

  • Certificate of Approval for Exceptional Quality (Eq) Biosolids Importation - Vermont, Page 7

    7

  • Certificate of Approval for Exceptional Quality (Eq) Biosolids Importation - Vermont, Page 8

    8

  • Certificate of Approval for Exceptional Quality (Eq) Biosolids Importation - Vermont, Page 9

    9

  • Certificate of Approval for Exceptional Quality (Eq) Biosolids Importation - Vermont, Page 10

    10

  • Certificate of Approval for Exceptional Quality (Eq) Biosolids Importation - Vermont, Page 1
  • Certificate of Approval for Exceptional Quality (Eq) Biosolids Importation - Vermont, Page 2
  • Certificate of Approval for Exceptional Quality (Eq) Biosolids Importation - Vermont, Page 3
  • Certificate of Approval for Exceptional Quality (Eq) Biosolids Importation - Vermont, Page 4
  • Certificate of Approval for Exceptional Quality (Eq) Biosolids Importation - Vermont, Page 5
  • Certificate of Approval for Exceptional Quality (Eq) Biosolids Importation - Vermont, Page 6
  • Certificate of Approval for Exceptional Quality (Eq) Biosolids Importation - Vermont, Page 7
  • Certificate of Approval for Exceptional Quality (Eq) Biosolids Importation - Vermont, Page 8
  • Certificate of Approval for Exceptional Quality (Eq) Biosolids Importation - Vermont, Page 9
  • Certificate of Approval for Exceptional Quality (Eq) Biosolids Importation - Vermont, Page 10
Prev 1 2 3 4 5 ... 10 Next
ADVERTISEMENT