Form TR-WM-30 Vehicle Scale Installation Permit Application - Wisconsin

Form TR-WM-30 Vehicle Scale Installation Permit Application - Wisconsin

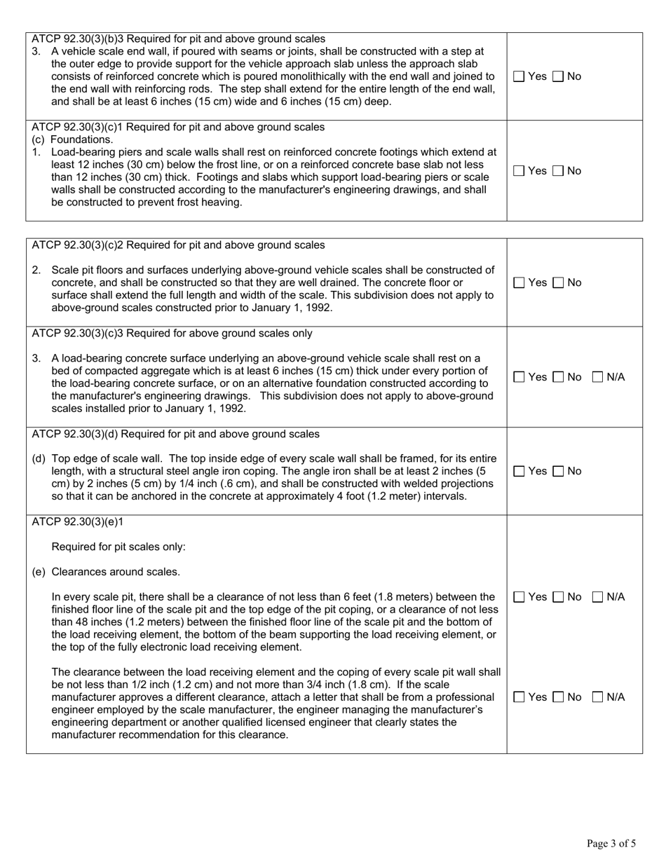
What Is Form TR-WM-30?

This is a legal form that was released by the Wisconsin Department of Agriculture, Trade and Consumer Protection - a government authority operating within Wisconsin. As of today, no separate filing guidelines for the form are provided by the issuing department.

FAQ

Q: What is Form TR-WM-30?
A: Form TR-WM-30 is a Vehicle Scale Installation Permit Application in Wisconsin.

Q: What is the purpose of Form TR-WM-30?
A: The purpose of Form TR-WM-30 is to apply for a permit to install a vehicle scale in Wisconsin.

Q: What information is required on Form TR-WM-30?
A: Form TR-WM-30 requires information such as applicant details, scale specifications, and installation details.

Q: Are there any fees associated with Form TR-WM-30?
A: Yes, there is a fee for the Vehicle Scale Installation Permit. The fee amount can vary and should be confirmed with the Wisconsin Department of Transportation.

Q: What is the processing time for Form TR-WM-30?
A: The processing time for Form TR-WM-30 may vary. It is recommended to contact the Wisconsin Department of Transportation for an accurate estimate.

Q: Are there any additional requirements for installing a vehicle scale in Wisconsin?
A: Yes, there may be additional requirements and regulations for installing a vehicle scale in Wisconsin. It is advised to consult the Wisconsin Department of Transportation or local authorities for more information.

Q: Can I start installing a vehicle scale without a permit?
A: No, it is required to obtain a Vehicle Scale Installation Permit before installing a vehicle scale in Wisconsin.

Q: Can I use Form TR-WM-30 for other states?
A: No, Form TR-WM-30 is specific to Wisconsin. Each state may have its own permit application for installing a vehicle scale.

ADVERTISEMENT

Form Details:

  • Released on May 1, 2018;
  • The latest edition provided by the Wisconsin Department of Agriculture, Trade and Consumer Protection;
  • Easy to use and ready to print;
  • Quick to customize;
  • Compatible with most PDF-viewing applications;
  • Fill out the form in our online filing application.

Download a printable version of Form TR-WM-30 by clicking the link below or browse more documents and templates provided by the Wisconsin Department of Agriculture, Trade and Consumer Protection.

Download Form TR-WM-30 Vehicle Scale Installation Permit Application - Wisconsin

4.7 of 5 (28 votes)
  • Form TR-WM-30 Vehicle Scale Installation Permit Application - Wisconsin

    1

  • Form TR-WM-30 Vehicle Scale Installation Permit Application - Wisconsin, Page 2

    2

  • Form TR-WM-30 Vehicle Scale Installation Permit Application - Wisconsin, Page 3

    3

  • Form TR-WM-30 Vehicle Scale Installation Permit Application - Wisconsin, Page 4

    4

  • Form TR-WM-30 Vehicle Scale Installation Permit Application - Wisconsin, Page 5

    5

  • Form TR-WM-30 Vehicle Scale Installation Permit Application - Wisconsin, Page 1
  • Form TR-WM-30 Vehicle Scale Installation Permit Application - Wisconsin, Page 2
  • Form TR-WM-30 Vehicle Scale Installation Permit Application - Wisconsin, Page 3
  • Form TR-WM-30 Vehicle Scale Installation Permit Application - Wisconsin, Page 4
  • Form TR-WM-30 Vehicle Scale Installation Permit Application - Wisconsin, Page 5
Prev 1 2 3 4 5 Next
ADVERTISEMENT

Related Documents