Form ME-941 Report of Examination 51.20, Wis. Stats. - Wisconsin

Form ME-941 Report of Examination 51.20, Wis. Stats. - Wisconsin

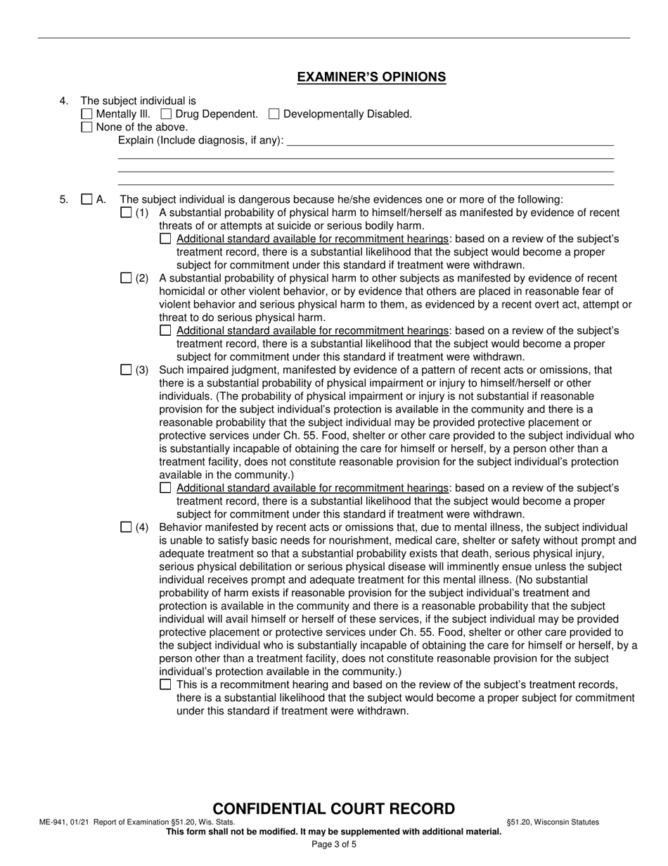
What Is Form ME-941?

This is a legal form that was released by the Wisconsin Circuit Court - a government authority operating within Wisconsin. As of today, no separate filing guidelines for the form are provided by the issuing department.

FAQ

Q: What is a Form ME-941?
A: Form ME-941 is a report of examination required in Wisconsin.

Q: What is the purpose of Form ME-941?
A: The purpose of Form ME-941 is to report the results of an examination conducted under section 51.20 of the Wisconsin Statutes.

Q: Who is required to file Form ME-941?
A: Any person or entity that conducts a mental health examination under section 51.20 of the Wisconsin Statutes is required to file Form ME-941.

Q: What is section 51.20 of the Wisconsin Statutes?
A: Section 51.20 of the Wisconsin Statutes is a provision that allows for the involuntary examination of individuals for mental health issues.

Q: Are there any penalties for not filing Form ME-941?
A: Yes, failure to file Form ME-941 can result in penalties and may also affect the legality of the mental health examination.

Q: What information is required on Form ME-941?
A: Form ME-941 requires information about the individual being examined, the examiner, the nature of the examination, and the findings.

Q: When is Form ME-941 due?
A: Form ME-941 is due within 10 days after the completion of the mental health examination.

Q: Can I request an extension for filing Form ME-941?
A: Yes, you can request an extension for filing Form ME-941 by contacting the Wisconsin Department of Health Services.

ADVERTISEMENT

Form Details:

  • Released on January 1, 2021;
  • The latest edition provided by the Wisconsin Circuit Court;
  • Easy to use and ready to print;
  • Quick to customize;
  • Compatible with most PDF-viewing applications;
  • Fill out the form in our online filing application.

Download a printable version of Form ME-941 by clicking the link below or browse more documents and templates provided by the Wisconsin Circuit Court.

Download Form ME-941 Report of Examination 51.20, Wis. Stats. - Wisconsin

4.6 of 5 (15 votes)
  • Form ME-941 Report of Examination 51.20, Wis. Stats. - Wisconsin

    1

  • Form ME-941 Report of Examination 51.20, Wis. Stats. - Wisconsin, Page 2

    2

  • Form ME-941 Report of Examination 51.20, Wis. Stats. - Wisconsin, Page 3

    3

  • Form ME-941 Report of Examination 51.20, Wis. Stats. - Wisconsin, Page 4

    4

  • Form ME-941 Report of Examination 51.20, Wis. Stats. - Wisconsin, Page 5

    5

  • Form ME-941 Report of Examination 51.20, Wis. Stats. - Wisconsin, Page 6

    6

  • Form ME-941 Report of Examination 51.20, Wis. Stats. - Wisconsin, Page 1
  • Form ME-941 Report of Examination 51.20, Wis. Stats. - Wisconsin, Page 2
  • Form ME-941 Report of Examination 51.20, Wis. Stats. - Wisconsin, Page 3
  • Form ME-941 Report of Examination 51.20, Wis. Stats. - Wisconsin, Page 4
  • Form ME-941 Report of Examination 51.20, Wis. Stats. - Wisconsin, Page 5
  • Form ME-941 Report of Examination 51.20, Wis. Stats. - Wisconsin, Page 6
Prev 1 2 3 4 5 6 Next
ADVERTISEMENT

Related Documents