Form F-00632 Consent to Access Insurance and Authorization to Release Information - Birth to 3 Program System of Payments - Wisconsin

Form F-00632 Consent to Access Insurance and Authorization to Release Information - Birth to 3 Program System of Payments - Wisconsin

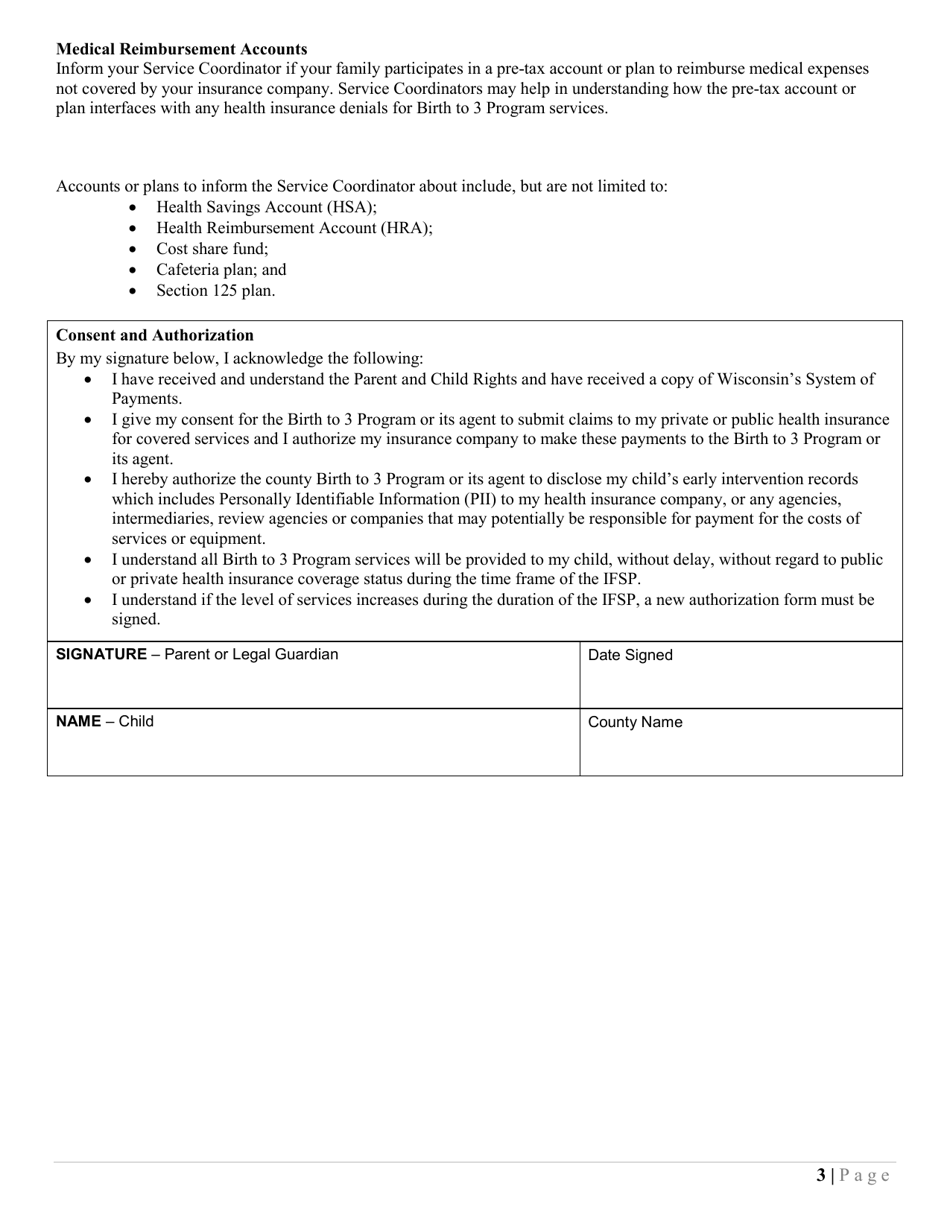
What Is Form F-00632?

This is a legal form that was released by the Wisconsin Department of Health Services - a government authority operating within Wisconsin. As of today, no separate filing guidelines for the form are provided by the issuing department.

FAQ

Q: What is Form F-00632?
A: Form F-00632 is the Consent to Access Insurance and Authorization to Release Information form for the Birth to 3 Program System of Payments in Wisconsin.

Q: What is the purpose of Form F-00632?
A: The purpose of Form F-00632 is to obtain consent to access insurance information and authorize the release of information for the Birth to 3 Program System of Payments in Wisconsin.

Q: What is the Birth to 3 Program System of Payments?
A: The Birth to 3 Program System of Payments is a program in Wisconsin that provides early intervention services to children under the age of 3 who have developmental delays or disabilities.

Q: What information is required on Form F-00632?
A: Form F-00632 requires the individual's name, date of birth, Social Security number, insurance information, and a signature to authorize the release of information.

Q: Who needs to complete Form F-00632?
A: Parents or legal guardians of children in the Birth to 3 Program in Wisconsin need to complete Form F-00632.

Q: Is Form F-00632 mandatory?
A: Yes, Form F-00632 is mandatory for accessing insurance information and authorizing the release of information for the Birth to 3 Program System of Payments in Wisconsin.

ADVERTISEMENT

Form Details:

  • Released on November 1, 2019;
  • The latest edition provided by the Wisconsin Department of Health Services;
  • Easy to use and ready to print;
  • Quick to customize;
  • Compatible with most PDF-viewing applications;
  • Fill out the form in our online filing application.

Download a printable version of Form F-00632 by clicking the link below or browse more documents and templates provided by the Wisconsin Department of Health Services.

Download Form F-00632 Consent to Access Insurance and Authorization to Release Information - Birth to 3 Program System of Payments - Wisconsin

4.7 of 5 (18 votes)
  • Form F-00632 Consent to Access Insurance and Authorization to Release Information - Birth to 3 Program System of Payments - Wisconsin

    1

  • Form F-00632 Consent to Access Insurance and Authorization to Release Information - Birth to 3 Program System of Payments - Wisconsin, Page 2

    2

  • Form F-00632 Consent to Access Insurance and Authorization to Release Information - Birth to 3 Program System of Payments - Wisconsin, Page 3

    3

  • Form F-00632 Consent to Access Insurance and Authorization to Release Information - Birth to 3 Program System of Payments - Wisconsin, Page 1
  • Form F-00632 Consent to Access Insurance and Authorization to Release Information - Birth to 3 Program System of Payments - Wisconsin, Page 2
  • Form F-00632 Consent to Access Insurance and Authorization to Release Information - Birth to 3 Program System of Payments - Wisconsin, Page 3
Prev 1 2 3 Next
ADVERTISEMENT

Related Documents