Decree of Divorce (No Minor Children) - Wyoming

Decree of Divorce (No Minor Children) - Wyoming

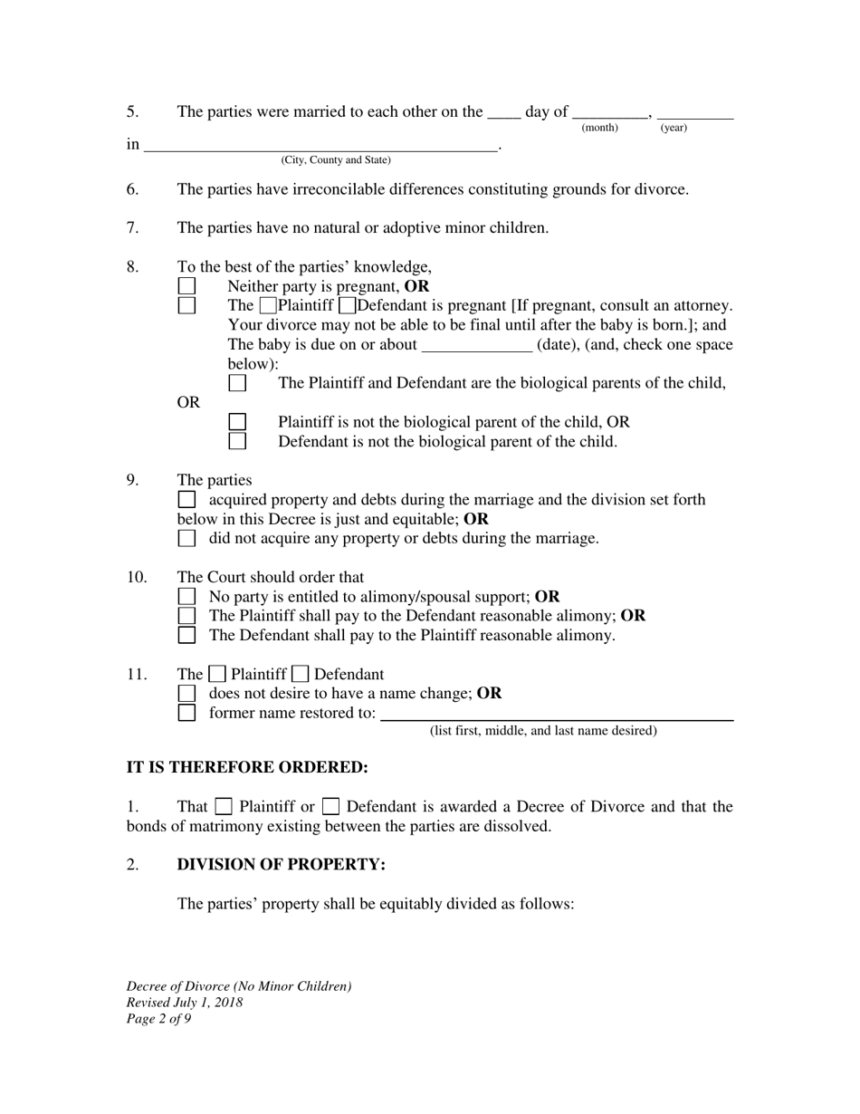
Decree of Divorce (No Minor Children) is a legal document that was released by the Wyoming District Court - a government authority operating within Wyoming.

FAQ

Q: What is a Decree of Divorce?
A: A Decree of Divorce is a legal document that officially ends a marriage.

Q: What does it mean to have 'No Minor Children' in the Decree of Divorce?
A: Having 'No Minor Children' means that the couple does not have any children who are under the age of 18.

Q: How can I get a Decree of Divorce (No Minor Children) in Wyoming?
A: To get a Decree of Divorce (No Minor Children) in Wyoming, you need to file a Petition for Divorce with the court and follow the legal process.

Q: What are the requirements for filing a Decree of Divorce (No Minor Children) in Wyoming?
A: The requirements may vary, but generally you need to have been a resident of Wyoming for a certain period of time and provide proof of irreconcilable differences or other grounds for divorce.

Q: What is the role of the court in issuing a Decree of Divorce (No Minor Children)?
A: The court reviews the petition, considers any agreements or disputes between the spouses, and issues the Decree of Divorce, which becomes a legally binding document.

Q: What happens after a Decree of Divorce (No Minor Children) is issued?
A: After the Decree of Divorce is issued, the marriage is officially dissolved, and both parties are free to remarry or make other legal decisions without the involvement of the other spouse.

Q: Do I need a lawyer to file for a Decree of Divorce (No Minor Children) in Wyoming?
A: While it is not required, seeking legal advice from a qualified attorney is recommended to navigate the legal process and ensure your rights and interests are protected.

ADVERTISEMENT

Form Details:

  • Released on July 1, 2018;
  • The latest edition currently provided by the Wyoming District Court;
  • Ready to use and print;
  • Easy to customize;
  • Compatible with most PDF-viewing applications;
  • Fill out the form in our online filing application.

Download a printable version of the form by clicking the link below or browse more documents and templates provided by the Wyoming District Court.

Download Decree of Divorce (No Minor Children) - Wyoming

4.7 of 5 (16 votes)
  • Decree of Divorce (No Minor Children) - Wyoming

    1

  • Decree of Divorce (No Minor Children) - Wyoming, Page 2

    2

  • Decree of Divorce (No Minor Children) - Wyoming, Page 3

    3

  • Decree of Divorce (No Minor Children) - Wyoming, Page 4

    4

  • Decree of Divorce (No Minor Children) - Wyoming, Page 5

    5

  • Decree of Divorce (No Minor Children) - Wyoming, Page 6

    6

  • Decree of Divorce (No Minor Children) - Wyoming, Page 7

    7

  • Decree of Divorce (No Minor Children) - Wyoming, Page 8

    8

  • Decree of Divorce (No Minor Children) - Wyoming, Page 9

    9

  • Decree of Divorce (No Minor Children) - Wyoming, Page 1
  • Decree of Divorce (No Minor Children) - Wyoming, Page 2
  • Decree of Divorce (No Minor Children) - Wyoming, Page 3
  • Decree of Divorce (No Minor Children) - Wyoming, Page 4
  • Decree of Divorce (No Minor Children) - Wyoming, Page 5
  • Decree of Divorce (No Minor Children) - Wyoming, Page 6
  • Decree of Divorce (No Minor Children) - Wyoming, Page 7
  • Decree of Divorce (No Minor Children) - Wyoming, Page 8
  • Decree of Divorce (No Minor Children) - Wyoming, Page 9
Prev 1 2 3 4 5 ... 9 Next
ADVERTISEMENT