Renewal Insurance Application for Residents or Non-residents (Business Entity) - Virgin Islands

Renewal Insurance Application for Residents or Non-residents (Business Entity) - Virgin Islands

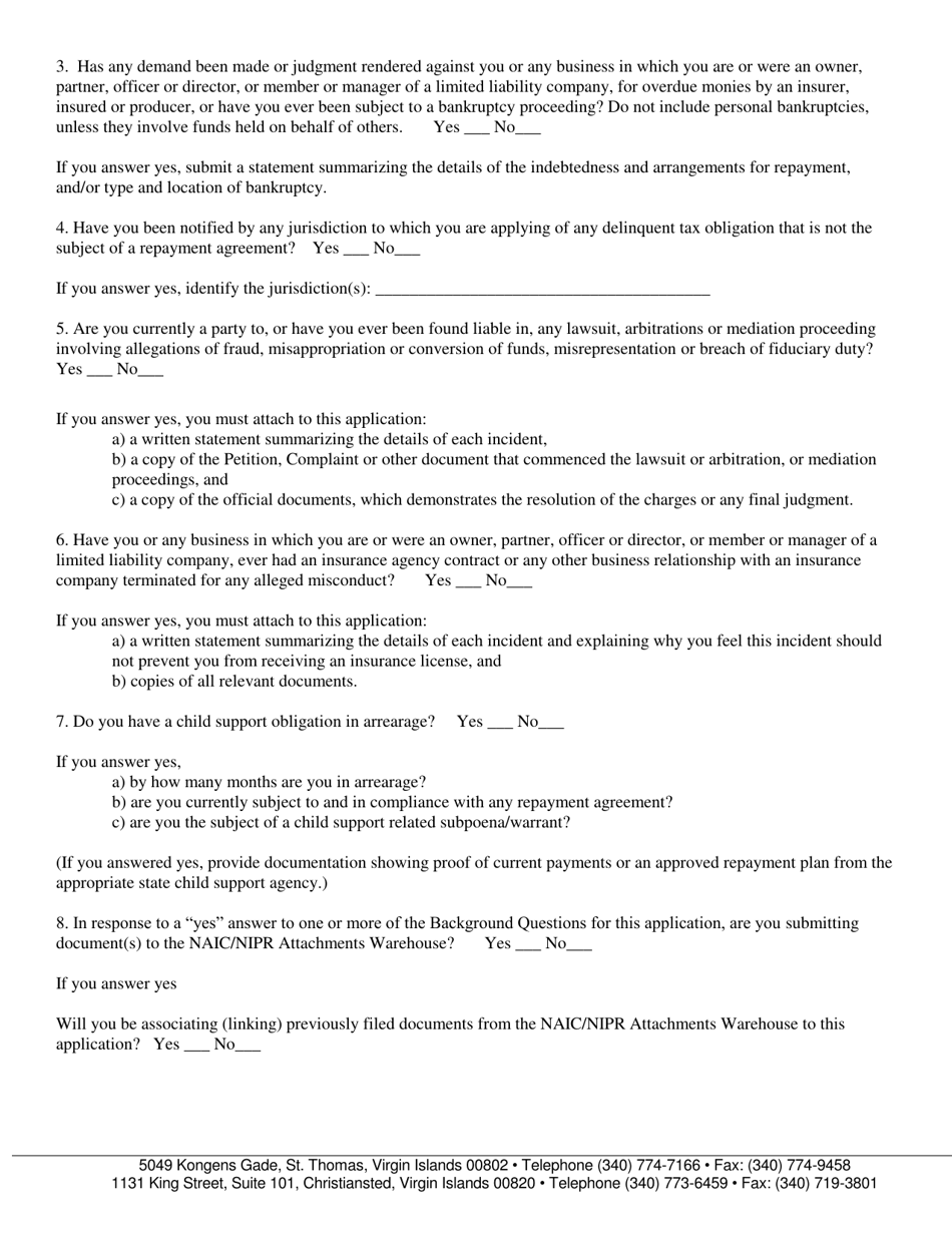
Renewal Insurance Application for Residents or Non-residents (Business Entity) is a legal document that was released by the Virgin Islands Office of the Lieutenant Governor - a government authority operating within Virgin Islands.

FAQ

Q: Who needs to renew their insurance application in the Virgin Islands?
A: Residents or non-residents with a business entity need to renew their insurance application.

Q: What type of insurance application needs to be renewed?
A: The renewal applies to insurance applications for business entities.

Q: Do residents and non-residents have to renew their insurance application?
A: Yes, both residents and non-residents with a business entity need to renew their insurance application.

Q: What is the location specified in the document?
A: The document specifies the Virgin Islands as the location for renewal of insurance applications.

Q: Is this renewal applicable to individuals?
A: No, this renewal is only applicable to business entities in the Virgin Islands.

ADVERTISEMENT

Form Details:

  • Released on May 1, 2017;
  • The latest edition currently provided by the Virgin Islands Office of the Lieutenant Governor;
  • Ready to use and print;
  • Easy to customize;
  • Compatible with most PDF-viewing applications;
  • Fill out the form in our online filing application.

Download a printable version of the form by clicking the link below or browse more documents and templates provided by the Virgin Islands Office of the Lieutenant Governor.

Download Renewal Insurance Application for Residents or Non-residents (Business Entity) - Virgin Islands

4.4 of 5 (12 votes)
  • Renewal Insurance Application for Residents or Non-residents (Business Entity) - Virgin Islands

    1

  • Renewal Insurance Application for Residents or Non-residents (Business Entity) - Virgin Islands, Page 2

    2

  • Renewal Insurance Application for Residents or Non-residents (Business Entity) - Virgin Islands, Page 3

    3

  • Renewal Insurance Application for Residents or Non-residents (Business Entity) - Virgin Islands, Page 4

    4

  • Renewal Insurance Application for Residents or Non-residents (Business Entity) - Virgin Islands, Page 5

    5

  • Renewal Insurance Application for Residents or Non-residents (Business Entity) - Virgin Islands, Page 6

    6

  • Renewal Insurance Application for Residents or Non-residents (Business Entity) - Virgin Islands, Page 7

    7

  • Renewal Insurance Application for Residents or Non-residents (Business Entity) - Virgin Islands, Page 1
  • Renewal Insurance Application for Residents or Non-residents (Business Entity) - Virgin Islands, Page 2
  • Renewal Insurance Application for Residents or Non-residents (Business Entity) - Virgin Islands, Page 3
  • Renewal Insurance Application for Residents or Non-residents (Business Entity) - Virgin Islands, Page 4
  • Renewal Insurance Application for Residents or Non-residents (Business Entity) - Virgin Islands, Page 5
  • Renewal Insurance Application for Residents or Non-residents (Business Entity) - Virgin Islands, Page 6
  • Renewal Insurance Application for Residents or Non-residents (Business Entity) - Virgin Islands, Page 7
Prev 1 2 3 4 5 ... 7 Next
ADVERTISEMENT

Related Documents