Instructions for Form FTEP-1 Daily Observation Report - Level II and Level Iii - Vermont

Instructions for Form FTEP-1 Daily Observation Report - Level II and Level Iii - Vermont

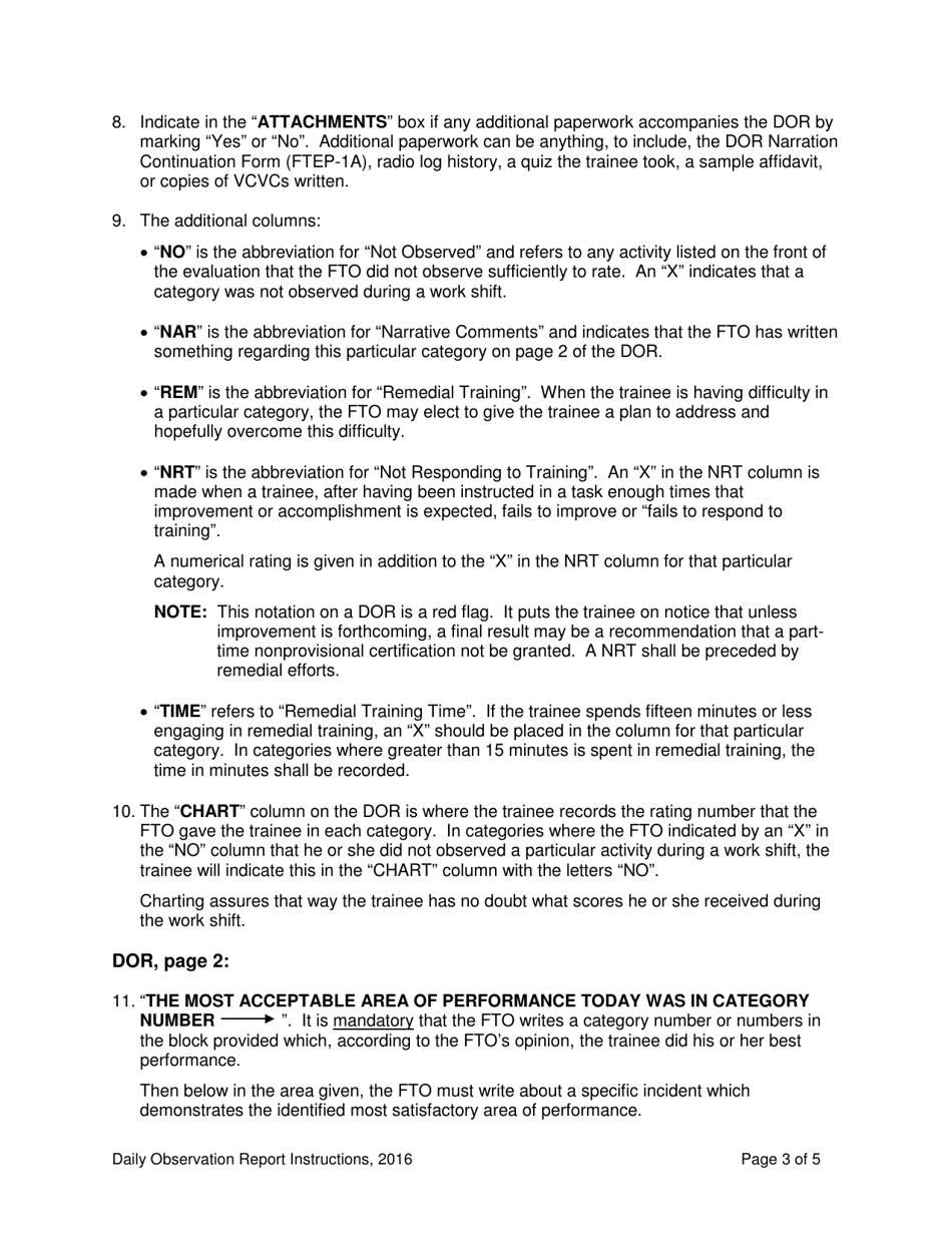
This document contains official instructions for Form FTEP-1 , Daily Observation Report - Level II and Level Iii - a form released and collected by the Vermont Criminal Justice Council.

FAQ

Q: What is Form FTEP-1?
A: Form FTEP-1 is a Daily Observation Report for Level II and Level III.

Q: Who is required to use Form FTEP-1?
A: Level II and Level III personnel in Vermont are required to use Form FTEP-1.

Q: What is the purpose of Form FTEP-1?
A: The purpose of Form FTEP-1 is to record daily observations.

Q: What information does Form FTEP-1 capture?
A: Form FTEP-1 captures information such as the date, observer's name, location, weather conditions, and observations.

Q: Are Level I personnel required to use Form FTEP-1?
A: No, only Level II and Level III personnel are required to use Form FTEP-1.

Q: Is Form FTEP-1 specific to Vermont?
A: Yes, Form FTEP-1 is specific to Vermont.

Q: Can Form FTEP-1 be used for other purposes?
A: No, Form FTEP-1 is specifically designed for recording daily observations for Level II and Level III personnel in Vermont.

ADVERTISEMENT

Instruction Details:

  • This 5-page document is available for download in PDF;
  • Actual and applicable for the current year;
  • Complete, printable, and free.

Download your copy of the instructions by clicking the link below or browse hundreds of other forms in our library of forms released by the Vermont Criminal Justice Council.

Download Instructions for Form FTEP-1 Daily Observation Report - Level II and Level Iii - Vermont

4.7 of 5 (16 votes)
  • Instructions for Form FTEP-1 Daily Observation Report - Level II and Level Iii - Vermont

    1

  • Instructions for Form FTEP-1 Daily Observation Report - Level II and Level Iii - Vermont, Page 2

    2

  • Instructions for Form FTEP-1 Daily Observation Report - Level II and Level Iii - Vermont, Page 3

    3

  • Instructions for Form FTEP-1 Daily Observation Report - Level II and Level Iii - Vermont, Page 4

    4

  • Instructions for Form FTEP-1 Daily Observation Report - Level II and Level Iii - Vermont, Page 5

    5

  • Instructions for Form FTEP-1 Daily Observation Report - Level II and Level Iii - Vermont, Page 1
  • Instructions for Form FTEP-1 Daily Observation Report - Level II and Level Iii - Vermont, Page 2
  • Instructions for Form FTEP-1 Daily Observation Report - Level II and Level Iii - Vermont, Page 3
  • Instructions for Form FTEP-1 Daily Observation Report - Level II and Level Iii - Vermont, Page 4
  • Instructions for Form FTEP-1 Daily Observation Report - Level II and Level Iii - Vermont, Page 5
Prev 1 2 3 4 5 Next
ADVERTISEMENT

Related Documents