Creek / Creek Culvert Permit Application Form - City of Berkeley, California

Creek / Creek Culvert Permit Application Form - City of Berkeley, California

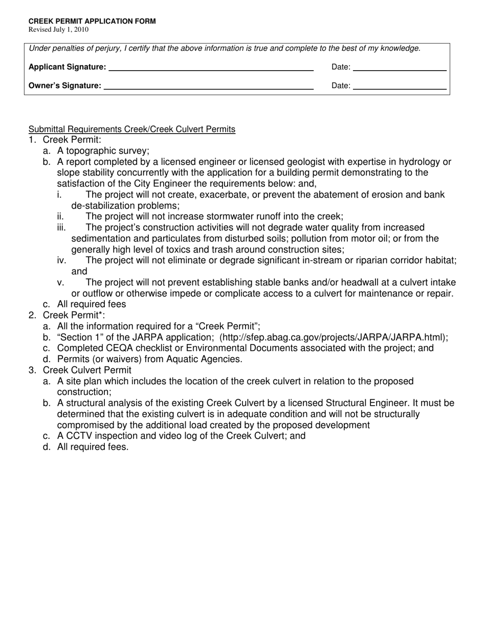
Creek/Creek Culvert Permit Application Form is a legal document that was released by the Department of Public Works - City of Berkeley, California - a government authority operating within California. The form may be used strictly within City of Berkeley.

Form Details:

  • Released on July 1, 2010;
  • The latest edition currently provided by the Department of Public Works - City of Berkeley, California;
  • Ready to use and print;
  • Easy to customize;
  • Compatible with most PDF-viewing applications;
  • Fill out the form in our online filing application.

Download a printable version of the form by clicking the link below or browse more documents and templates provided by the Department of Public Works - City of Berkeley, California.

ADVERTISEMENT

Download Creek / Creek Culvert Permit Application Form - City of Berkeley, California

4.7 of 5 (24 votes)
  • Creek/Creek Culvert Permit Application Form - City of Berkeley, California

    1

  • Creek/Creek Culvert Permit Application Form - City of Berkeley, California, Page 2

    2

  • Creek/Creek Culvert Permit Application Form - City of Berkeley, California, Page 3

    3

  • Creek/Creek Culvert Permit Application Form - City of Berkeley, California, Page 4

    4

  • Creek / Creek Culvert Permit Application Form - City of Berkeley, California, Page 1
  • Creek / Creek Culvert Permit Application Form - City of Berkeley, California, Page 2
  • Creek / Creek Culvert Permit Application Form - City of Berkeley, California, Page 3
  • Creek / Creek Culvert Permit Application Form - City of Berkeley, California, Page 4
Prev 1 2 3 4 Next
ADVERTISEMENT