Zoning Board of Appeals Application - Village of Westhampton Beach, New York

Zoning Board of Appeals Application - Village of Westhampton Beach, New York

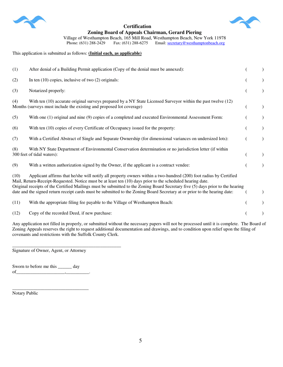
Zoning Board of Appeals Application is a legal document that was released by the Department of Building and Zoning - Village of Westhampton Beach, New York - a government authority operating within New York. The form may be used strictly within Village of Westhampton Beach.

FAQ

Q: What is the Zoning Board of Appeals?
A: The Zoning Board of Appeals (ZBA) is a government body responsible for hearing and deciding on appeals related to zoning regulations.

Q: What is the purpose of the Zoning Board of Appeals?
A: The Zoning Board of Appeals evaluates requests for variances or exceptions to zoning laws and regulations.

Q: What is a variance?
A: A variance is a request to deviate from the zoning regulations due to unique circumstances or hardships.

Q: What is the application process for the Zoning Board of Appeals in Westhampton Beach, NY?
A: To apply for a variance or exception, you need to complete an application form and submit it along with the required documents and fees to the Zoning Board of Appeals.

Q: What documents are required for a Zoning Board of Appeals application?
A: The specific documents required may vary, but typically include a completed application form, site plan, survey, description of the proposed project, and any relevant supporting documents.

Q: How long does the Zoning Board of Appeals application process take?
A: The processing time can vary, but it usually takes several weeks to months for the Zoning Board of Appeals to review and decide on an application.

Q: Can anyone apply for a variance?
A: Yes, anyone who is the owner of a property or has a legal interest in it can apply for a variance.

Q: What factors does the Zoning Board of Appeals consider when evaluating a variance request?
A: The Zoning Board of Appeals considers factors such as the impact on the surrounding neighborhood, public health and safety, and the applicant's justification for the variance.

Q: Are there any fees associated with the Zoning Board of Appeals application?
A: Yes, there are typically application fees that need to be paid when submitting a Zoning Board of Appeals application.

Q: Can a decision made by the Zoning Board of Appeals be appealed?
A: Yes, if you disagree with the decision made by the Zoning Board of Appeals, you may have the option to appeal it to a higher authority, such as a local court or board.

ADVERTISEMENT

Form Details:

  • The latest edition currently provided by the Department of Building and Zoning - Village of Westhampton Beach, New York;
  • Ready to use and print;
  • Easy to customize;
  • Compatible with most PDF-viewing applications;
  • Fill out the form in our online filing application.

Download a fillable version of the form by clicking the link below or browse more documents and templates provided by the Department of Building and Zoning - Village of Westhampton Beach, New York.

Download Zoning Board of Appeals Application - Village of Westhampton Beach, New York

4.7 of 5 (34 votes)
  • Zoning Board of Appeals Application - Village of Westhampton Beach, New York

    1

  • Zoning Board of Appeals Application - Village of Westhampton Beach, New York, Page 2

    2

  • Zoning Board of Appeals Application - Village of Westhampton Beach, New York, Page 3

    3

  • Zoning Board of Appeals Application - Village of Westhampton Beach, New York, Page 4

    4

  • Zoning Board of Appeals Application - Village of Westhampton Beach, New York, Page 5

    5

  • Zoning Board of Appeals Application - Village of Westhampton Beach, New York, Page 6

    6

  • Zoning Board of Appeals Application - Village of Westhampton Beach, New York, Page 7

    7

  • Zoning Board of Appeals Application - Village of Westhampton Beach, New York, Page 8

    8

  • Zoning Board of Appeals Application - Village of Westhampton Beach, New York, Page 9

    9

  • Zoning Board of Appeals Application - Village of Westhampton Beach, New York, Page 10

    10

  • Zoning Board of Appeals Application - Village of Westhampton Beach, New York, Page 11

    11

  • Zoning Board of Appeals Application - Village of Westhampton Beach, New York, Page 12

    12

  • Zoning Board of Appeals Application - Village of Westhampton Beach, New York, Page 13

    13

  • Zoning Board of Appeals Application - Village of Westhampton Beach, New York, Page 1
  • Zoning Board of Appeals Application - Village of Westhampton Beach, New York, Page 2
  • Zoning Board of Appeals Application - Village of Westhampton Beach, New York, Page 3
  • Zoning Board of Appeals Application - Village of Westhampton Beach, New York, Page 4
  • Zoning Board of Appeals Application - Village of Westhampton Beach, New York, Page 5
  • Zoning Board of Appeals Application - Village of Westhampton Beach, New York, Page 6
  • Zoning Board of Appeals Application - Village of Westhampton Beach, New York, Page 7
  • Zoning Board of Appeals Application - Village of Westhampton Beach, New York, Page 8
  • Zoning Board of Appeals Application - Village of Westhampton Beach, New York, Page 9
  • Zoning Board of Appeals Application - Village of Westhampton Beach, New York, Page 10
  • Zoning Board of Appeals Application - Village of Westhampton Beach, New York, Page 11
  • Zoning Board of Appeals Application - Village of Westhampton Beach, New York, Page 12
  • Zoning Board of Appeals Application - Village of Westhampton Beach, New York, Page 13
Prev 1 2 3 4 5 ... 13 Next
ADVERTISEMENT

Related Documents