Form RI-FL075 Stipulation and Order Re: Ruling on Request for Order Without Hearing - County of Riverside, California

Form RI-FL075 Stipulation and Order Re: Ruling on Request for Order Without Hearing - County of Riverside, California

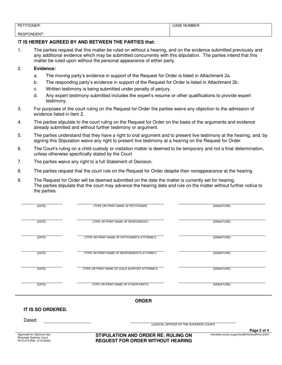
What Is Form RI-FL075?

This is a legal form that was released by the Superior Court - County of Riverside, California - a government authority operating within California. The form may be used strictly within County of Riverside. As of today, no separate filing guidelines for the form are provided by the issuing department.

FAQ

Q: What is the Form RI-FL075?
A: Form RI-FL075 is a Stipulation and Order related to a ruling on a request for an order without a hearing.

Q: What does the Form RI-FL075 pertain to?
A: The form pertains to matters related to family law in the County of Riverside, California.

Q: What is a Stipulation and Order?
A: A Stipulation and Order is a legal agreement between parties that is approved by the court.

Q: What is a Request for Order Without Hearing?
A: A Request for Order Without Hearing is a request made to the court for an order without the need for a formal hearing.

Q: What County is the Form RI-FL075 used in?
A: The Form RI-FL075 is used in the County of Riverside, California.

ADVERTISEMENT

Form Details:

  • Released on May 14, 2020;
  • The latest edition provided by the Superior Court - County of Riverside, California;
  • Easy to use and ready to print;
  • Quick to customize;
  • Compatible with most PDF-viewing applications;
  • Fill out the form in our online filing application.

Download a fillable version of Form RI-FL075 by clicking the link below or browse more documents and templates provided by the Superior Court - County of Riverside, California.

Download Form RI-FL075 Stipulation and Order Re: Ruling on Request for Order Without Hearing - County of Riverside, California

4.4 of 5 (29 votes)
  • Form RI-FL075 Stipulation and Order Re: Ruling on Request for Order Without Hearing - County of Riverside, California

    1

  • Form RI-FL075 Stipulation and Order Re: Ruling on Request for Order Without Hearing - County of Riverside, California, Page 2

    2

  • Form RI-FL075 Stipulation and Order Re: Ruling on Request for Order Without Hearing - County of Riverside, California, Page 3

    3

  • Form RI-FL075 Stipulation and Order Re: Ruling on Request for Order Without Hearing - County of Riverside, California, Page 4

    4

  • Form RI-FL075 Stipulation and Order Re: Ruling on Request for Order Without Hearing - County of Riverside, California, Page 1
  • Form RI-FL075 Stipulation and Order Re: Ruling on Request for Order Without Hearing - County of Riverside, California, Page 2
  • Form RI-FL075 Stipulation and Order Re: Ruling on Request for Order Without Hearing - County of Riverside, California, Page 3
  • Form RI-FL075 Stipulation and Order Re: Ruling on Request for Order Without Hearing - County of Riverside, California, Page 4
Prev 1 2 3 4 Next
ADVERTISEMENT

Related Documents