Form CRM-224 Adult Drug Court Participant Contract - County of San Diego, California

Form CRM-224 Adult Drug Court Participant Contract - County of San Diego, California

What Is Form CRM-224?

This is a legal form that was released by the Superior Court - County of San Diego, California - a government authority operating within California. The form may be used strictly within County of San Diego. As of today, no separate filing guidelines for the form are provided by the issuing department.

FAQ

Q: What is CRM-224?
A: CRM-224 is the name of the Adult Drug Court Participant Contract form used in San Diego, California.

Q: What is the purpose of the Adult Drug Court Participant Contract?
A: The purpose of the Adult Drug Court Participant Contract is to establish the terms and conditions for individuals participating in the drug court program in San Diego, California.

Q: Who uses the CRM-224 form?
A: The CRM-224 Adult Drug Court Participant Contract form is used by individuals participating in the drug court program in San Diego, California.

Q: What county is the CRM-224 form used in?
A: The CRM-224 form is used in San Diego County, California.

Q: What is the drug court program in San Diego?
A: The drug court program in San Diego is a specialized court program that offers treatment and rehabilitation options for individuals with substance abuse issues.

Q: What happens if someone violates the terms of the Adult Drug Court Participant Contract?
A: If someone violates the terms of the Adult Drug Court Participant Contract, they may face consequences including additional treatment requirements, judicial review, or even termination from the drug court program.

Q: Can anyone participate in the drug court program in San Diego?
A: Not everyone is eligible to participate in the drug court program in San Diego. Eligibility criteria may vary, but generally, individuals must have a substance abuse issue and be willing to participate in treatment.

Q: Is participation in the drug court program mandatory?
A: Participation in the drug court program is typically voluntary, but in some cases, it may be mandated as part of a legal process.

Q: What are the benefits of participating in the drug court program?
A: Benefits of participating in the drug court program may include access to treatment, support services, and the opportunity to have charges reduced or dismissed upon successful completion of the program.

Q: Are there any fees associated with the drug court program?
A: There may be fees associated with the drug court program, such as program participation fees or fees for required substance abuse treatment services. These fees vary depending on the individual's financial situation.

Q: Can someone be expelled from the drug court program?
A: Yes, someone can be expelled from the drug court program if they fail to comply with the program requirements or if they engage in behavior that is inconsistent with the goals of the program.

ADVERTISEMENT

Form Details:

  • Released on March 1, 2018;
  • The latest edition provided by the Superior Court - County of San Diego, California;
  • Easy to use and ready to print;
  • Quick to customize;
  • Compatible with most PDF-viewing applications;
  • Fill out the form in our online filing application.

Download a fillable version of Form CRM-224 by clicking the link below or browse more documents and templates provided by the Superior Court - County of San Diego, California.

Download Form CRM-224 Adult Drug Court Participant Contract - County of San Diego, California

4.5 of 5 (12 votes)
  • Form CRM-224 Adult Drug Court Participant Contract - County of San Diego, California

    1

  • Form CRM-224 Adult Drug Court Participant Contract - County of San Diego, California, Page 2

    2

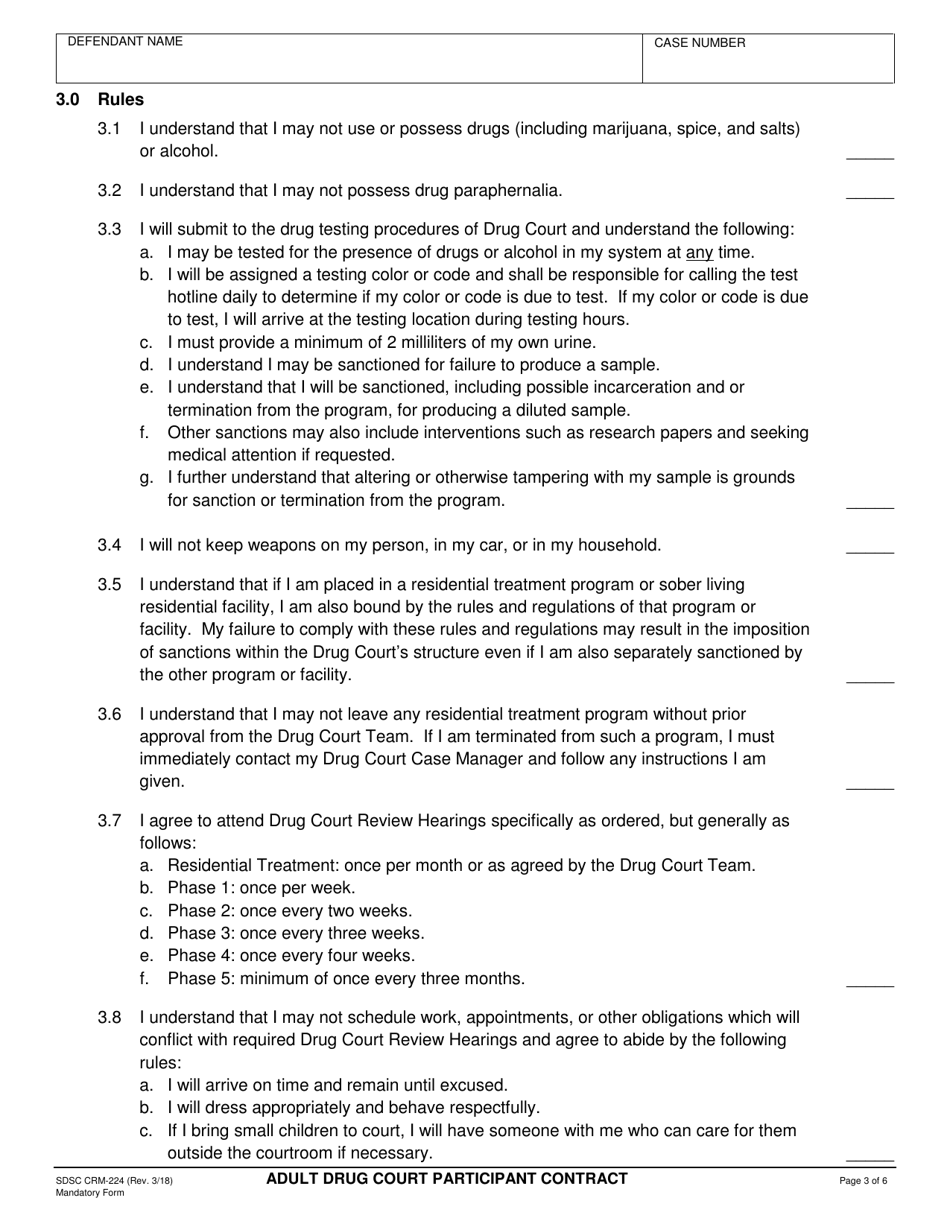
  • Form CRM-224 Adult Drug Court Participant Contract - County of San Diego, California, Page 3

    3

  • Form CRM-224 Adult Drug Court Participant Contract - County of San Diego, California, Page 4

    4

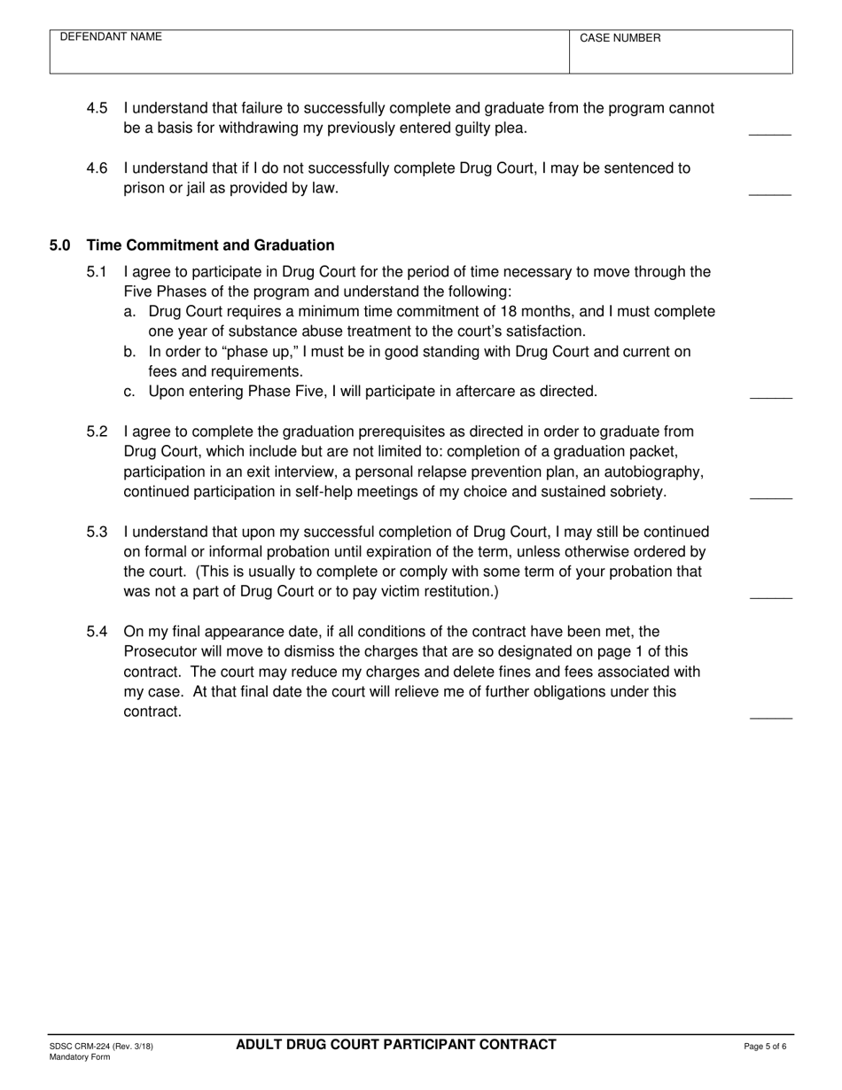
  • Form CRM-224 Adult Drug Court Participant Contract - County of San Diego, California, Page 5

    5

  • Form CRM-224 Adult Drug Court Participant Contract - County of San Diego, California, Page 6

    6

  • Form CRM-224 Adult Drug Court Participant Contract - County of San Diego, California, Page 1
  • Form CRM-224 Adult Drug Court Participant Contract - County of San Diego, California, Page 2
  • Form CRM-224 Adult Drug Court Participant Contract - County of San Diego, California, Page 3
  • Form CRM-224 Adult Drug Court Participant Contract - County of San Diego, California, Page 4
  • Form CRM-224 Adult Drug Court Participant Contract - County of San Diego, California, Page 5
  • Form CRM-224 Adult Drug Court Participant Contract - County of San Diego, California, Page 6
Prev 1 2 3 4 5 6 Next
ADVERTISEMENT

Related Documents