Permit for Commercial Photography, Film, and Other Electronic Imaging - Dutchess County, New York

Permit for Commercial Photography, Film, and Other Electronic Imaging - Dutchess County, New York

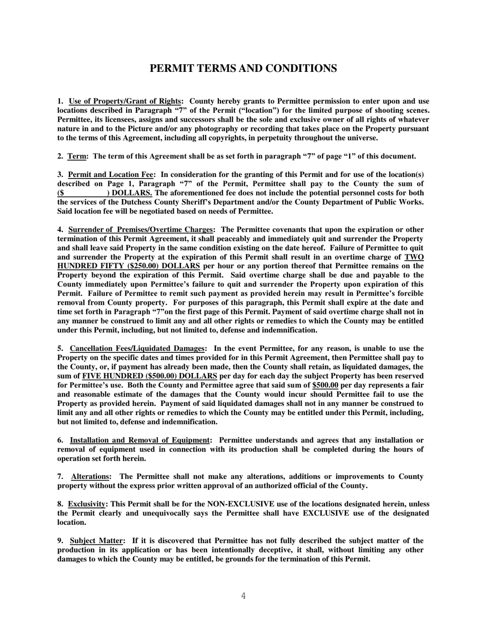
Permit for Commercial Photography, Film, and Other Electronic Imaging is a legal document that was released by the Department of Public Works - Dutchess County, New York - a government authority operating within New York. The form may be used strictly within Dutchess County.

FAQ

Q: What is a permit for commercial photography, film, and other electronic imaging?
A: A permit is required for commercial photography, film, and other electronic imaging activities in Dutchess County, New York.

Q: Who needs a permit for commercial photography, film, and other electronic imaging?
A: Anyone engaging in commercial photography, film, or other electronic imaging activities in Dutchess County needs a permit.

Q: How do I obtain a permit for commercial photography, film, and other electronic imaging in Dutchess County?
A: To obtain a permit, you need to complete an application form and submit it to the Dutchess County Department of Public Works.

Q: Are there any fees associated with the permit for commercial photography, film, and other electronic imaging?
A: Yes, there are fees associated with the permit. The amount varies depending on the specific activity and location.

Q: Are there any restrictions on commercial photography, film, and other electronic imaging activities in Dutchess County?
A: Yes, there are restrictions on these activities, including limitations on location, hours, and the use of equipment.

Q: How long does it take to process a permit application for commercial photography, film, and other electronic imaging?
A: The processing time for a permit application varies, but it typically takes about 10 business days.

Q: What happens if I engage in commercial photography, film, or other electronic imaging activities without a permit in Dutchess County?
A: Engaging in these activities without a permit is a violation and may result in penalties and fines.

Q: Is the permit for commercial photography, film, and other electronic imaging in Dutchess County valid for a specific duration?
A: Yes, the permit is typically valid for a specific duration, which is specified on the permit itself.

ADVERTISEMENT

Form Details:

  • The latest edition currently provided by the Department of Public Works - Dutchess County, New York;
  • Ready to use and print;
  • Easy to customize;
  • Compatible with most PDF-viewing applications;
  • Fill out the form in our online filing application.

Download a fillable version of the form by clicking the link below or browse more documents and templates provided by the Department of Public Works - Dutchess County, New York.

Download Permit for Commercial Photography, Film, and Other Electronic Imaging - Dutchess County, New York

4.8 of 5 (19 votes)
  • Permit for Commercial Photography, Film, and Other Electronic Imaging - Dutchess County, New York

    1

  • Permit for Commercial Photography, Film, and Other Electronic Imaging - Dutchess County, New York, Page 2

    2

  • Permit for Commercial Photography, Film, and Other Electronic Imaging - Dutchess County, New York, Page 3

    3

  • Permit for Commercial Photography, Film, and Other Electronic Imaging - Dutchess County, New York, Page 4

    4

  • Permit for Commercial Photography, Film, and Other Electronic Imaging - Dutchess County, New York, Page 5

    5

  • Permit for Commercial Photography, Film, and Other Electronic Imaging - Dutchess County, New York, Page 6

    6

  • Permit for Commercial Photography, Film, and Other Electronic Imaging - Dutchess County, New York, Page 7

    7

  • Permit for Commercial Photography, Film, and Other Electronic Imaging - Dutchess County, New York, Page 8

    8

  • Permit for Commercial Photography, Film, and Other Electronic Imaging - Dutchess County, New York, Page 1
  • Permit for Commercial Photography, Film, and Other Electronic Imaging - Dutchess County, New York, Page 2
  • Permit for Commercial Photography, Film, and Other Electronic Imaging - Dutchess County, New York, Page 3
  • Permit for Commercial Photography, Film, and Other Electronic Imaging - Dutchess County, New York, Page 4
  • Permit for Commercial Photography, Film, and Other Electronic Imaging - Dutchess County, New York, Page 5
  • Permit for Commercial Photography, Film, and Other Electronic Imaging - Dutchess County, New York, Page 6
  • Permit for Commercial Photography, Film, and Other Electronic Imaging - Dutchess County, New York, Page 7
  • Permit for Commercial Photography, Film, and Other Electronic Imaging - Dutchess County, New York, Page 8
Prev 1 2 3 4 5 ... 8 Next
ADVERTISEMENT

Related Documents